3 Presentation Markup

Overview: Mathematical Markup Language (MathML) Version 3.0
Previous: 2 MathML Fundamentals
Next: 4 Content Markup

3 Presentation Markup
    3.1 Introduction
        3.1.1 What Presentation Elements Represent
        3.1.2 Terminology Used In This Chapter
            3.1.2.1 Types of presentation elements
            3.1.2.2 Terminology for other classes of elements and their relationships
        3.1.3 Required Arguments
            3.1.3.1 Inferred <mrow>s
            3.1.3.2 Table of argument requirements
        3.1.4 Elements with Special Behaviors
        3.1.5 Directionality
            3.1.5.1 Overall Directionality of Mathematics Formulas
            3.1.5.2 Bidirectional Layout in Token Elements
        3.1.6 Displaystyle and Scriptlevel
        3.1.7 Linebreaking of Expressions
            3.1.7.1 Control of Linebreaks
            3.1.7.2 Automatic Linebreaking Algorithm (Informative)
        3.1.8 Warning about fine-tuning of presentation
            3.1.8.1 Warning: non-portability of tweaking
            3.1.8.2 Warning: spacing should not be used to convey meaning
        3.1.9 Summary of Presentation Elements
            3.1.9.1 Token Elements
            3.1.9.2 General Layout Schemata
            3.1.9.3 Script and Limit Schemata
            3.1.9.4 Tables and Matrices
            3.1.9.5 Elementary Math Layout
            3.1.9.6 Enlivening Expressions
        3.1.10 Mathematics style attributes common to presentation elements
    3.2 Token Elements
        3.2.1 MathML characters in token elements
            3.2.1.1 Alphanumeric symbol characters
            3.2.1.2 <mglyph/>
        3.2.2 Mathematics style attributes common to token elements
            3.2.2.1 Deprecated style attributes on token elements
        3.2.3 Identifier <mi>
            3.2.3.1 Description
            3.2.3.2 Attributes
            3.2.3.3 Examples
        3.2.4 Number <mn>
            3.2.4.1 Description
            3.2.4.2 Attributes
            3.2.4.3 Examples
            3.2.4.4 Numbers that should not be written using <mn> alone
        3.2.5 Operator, Fence, Separator or Accent <mo>
            3.2.5.1 Description
            3.2.5.2 Attributes
            3.2.5.3 Examples with ordinary operators
            3.2.5.4 Examples with fences and separators
            3.2.5.5 Invisible operators
            3.2.5.6 Names for other special operators
            3.2.5.7 Detailed rendering rules for <mo> elements
            3.2.5.8 Stretching of operators, fences and accents
            3.2.5.9 Examples of Linebreaking
        3.2.6 Text <mtext>
            3.2.6.1 Description
            3.2.6.2 Attributes
            3.2.6.3 Examples
            3.2.6.4 Mixing text and mathematics
        3.2.7 Space <mspace/>
            3.2.7.1 Description
            3.2.7.2 Attributes
            3.2.7.3 Examples
            3.2.7.4 Definition of space-like elements
            3.2.7.5 Legal grouping of space-like elements
        3.2.8 String Literal <ms>
            3.2.8.1 Description
            3.2.8.2 Attributes
    3.3 General Layout Schemata
        3.3.1 Horizontally Group Sub-Expressions <mrow>
            3.3.1.1 Description
            3.3.1.2 Attributes
            3.3.1.3 Proper grouping of sub-expressions using <mrow>
            3.3.1.4 Examples
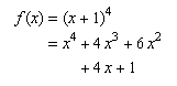
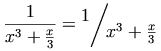
        3.3.2 Fractions <mfrac>
            3.3.2.1 Description
            3.3.2.2 Attributes
            3.3.2.3 Examples
        3.3.3 Radicals <msqrt>, <mroot>
            3.3.3.1 Description
            3.3.3.2 Attributes
        3.3.4 Style Change <mstyle>
            3.3.4.1 Description
            3.3.4.2 Attributes
            3.3.4.3 Examples
        3.3.5 Error Message <merror>
            3.3.5.1 Description
            3.3.5.2 Attributes
            3.3.5.3 Example
        3.3.6 Adjust Space Around Content <mpadded>
            3.3.6.1 Description
            3.3.6.2 Attributes
            3.3.6.3 Meanings of attributes
        3.3.7 Making Sub-Expressions Invisible <mphantom>
            3.3.7.1 Description
            3.3.7.2 Attributes
            3.3.7.3 Examples
        3.3.8 Expression Inside Pair of Fences <mfenced>
            3.3.8.1 Description
            3.3.8.2 Attributes
            3.3.8.3 Examples
        3.3.9 Enclose Expression Inside Notation <menclose>
            3.3.9.1 Description
            3.3.9.2 Attributes
            3.3.9.3 Examples
    3.4 Script and Limit Schemata
        3.4.1 Subscript <msub>
            3.4.1.1 Description
            3.4.1.2 Attributes
        3.4.2 Superscript <msup>
            3.4.2.1 Description
            3.4.2.2 Attributes
        3.4.3 Subscript-superscript Pair <msubsup>
            3.4.3.1 Description
            3.4.3.2 Attributes
            3.4.3.3 Examples
        3.4.4 Underscript <munder>
            3.4.4.1 Description
            3.4.4.2 Attributes
            3.4.4.3 Examples
        3.4.5 Overscript <mover>
            3.4.5.1 Description
            3.4.5.2 Attributes
            3.4.5.3 Examples
        3.4.6 Underscript-overscript Pair <munderover>
            3.4.6.1 Description
            3.4.6.2 Attributes
            3.4.6.3 Examples
        3.4.7 Prescripts and Tensor Indices <mmultiscripts>
            3.4.7.1 Description
            3.4.7.2 Attributes
            3.4.7.3 Examples
    3.5 Tabular Math
        3.5.1 Table or Matrix <mtable>
            3.5.1.1 Description
            3.5.1.2 Attributes
            3.5.1.3 Examples
        3.5.2 Row in Table or Matrix <mtr>
            3.5.2.1 Description
            3.5.2.2 Attributes
        3.5.3 Labeled Row in Table or Matrix <mlabeledtr>
            3.5.3.1 Description
            3.5.3.2 Attributes
            3.5.3.3 Equation Numbering
        3.5.4 Entry in Table or Matrix <mtd>
            3.5.4.1 Description
            3.5.4.2 Attributes
        3.5.5 Alignment Markers <maligngroup/>, <malignmark/>
            3.5.5.1 Description
            3.5.5.2 Specifying alignment groups
            3.5.5.3 Table cells that are not divided into alignment groups
            3.5.5.4 Specifying alignment points using <malignmark/>
            3.5.5.5 <malignmark/> Attributes
            3.5.5.6 <maligngroup/> Attributes
            3.5.5.7 Inheritance of groupalign values
            3.5.5.8 MathML representation of an alignment example
            3.5.5.9 Further details of alignment elements
            3.5.5.10 A simple alignment algorithm
    3.6 Elementary Math
        3.6.1 Stacks of Characters <mstack>
            3.6.1.1 Description
            3.6.1.2 Attributes
        3.6.2 Long Division <mlongdiv>
            3.6.2.1 Description
            3.6.2.2 Attributes
        3.6.3 Group Rows with Similiar Positions <msgroup>
            3.6.3.1 Description
            3.6.3.2 Attributes
        3.6.4 Rows in Elementary Math <msrow>
            3.6.4.1 Description
            3.6.4.2 Attributes
        3.6.5 Carries, Borrows, and Crossouts <mscarries>
            3.6.5.1 Description
            3.6.5.2 Attributes
        3.6.6 A Single Carry <mscarry>
            3.6.6.1 Description
            3.6.6.2 Attributes
        3.6.7 Horizontal Line <msline/>
            3.6.7.1 Description
            3.6.7.2 Attributes
        3.6.8 Elementary Math Examples
            3.6.8.1 Addition and Subtraction
            3.6.8.2 Multiplication
            3.6.8.3 Long Division
            3.6.8.4 Repeating decimal
    3.7 Enlivening Expressions
        3.7.1 Bind Action to Sub-Expression <maction>
            3.7.1.1 Attributes
    3.8 Semantics and Presentation

3.1 Introduction

This chapter specifies the "presentation" elements of MathML, which can be used to describe the layout structure of mathematical notation.

3.1.1 What Presentation Elements Represent

Presentation elements correspond to the "constructors" of traditional mathematical notation — that is, to the basic kinds of symbols and expression-building structures out of which any particular piece of traditional mathematical notation is built. Because of the importance of traditional visual notation, the descriptions of the notational constructs the elements represent are usually given here in visual terms. However, the elements are medium-independent in the sense that they have been designed to contain enough information for good spoken renderings as well. Some attributes of these elements may make sense only for visual media, but most attributes can be treated in an analogous way in audio as well (for example, by a correspondence between time duration and horizontal extent).

MathML presentation elements only suggest (i.e. do not require) specific ways of rendering in order to allow for medium-dependent rendering and for individual preferences of style. This specification describes suggested visual rendering rules in some detail, but a particular MathML renderer is free to use its own rules as long as its renderings are intelligible.

The presentation elements are meant to express the syntactic structure of mathematical notation in much the same way as titles, sections, and paragraphs capture the higher-level syntactic structure of a textual document. Because of this, a single row of identifiers and operators will often be represented by multiple nested mrow elements rather than a single mrow. For example, "x + a / b" typically is represented as:

<mrow>
  <mi> x </mi>
  <mo> + </mo>
  <mrow>
    <mi> a </mi>
    <mo> / </mo>
    <mi> b </mi>
  </mrow>
</mrow>

Similarly, superscripts are attached to the full expression constituting their base rather than to the just preceding character. This structure permits better-quality rendering of mathematics, especially when details of the rendering environment, such as display widths, are not known ahead of time to the document author. It also greatly eases automatic interpretation of the represented mathematical structures.

Certain MathML characters are used to name identifiers or operators that in traditional notation render the same as other symbols or usually rendered invisibly. For example, the entities &DifferentialD;, &ExponentialE;, and &ImaginaryI; denote notational symbols semantically distinct from visually identical letters used as simple variables. Likewise, the entities &InvisibleTimes;, &InvisiblePlus;, &ApplyFunction;, and &InvisibleComma; usually render invisibly but represent significant information. These entities have distinct spoken renderings, may influence visual linebreaking and spacing, and may effect the evaluation or meaning of particular expressions. Accordingly, authors should use these entities wherever they are applicable. For instance, the expression represented visually as "f(x)" would usually be spoken in English as "f of x" rather than just "f x". MathML conveys this meaning by using the &ApplyFunction; operator after the "f", which, in this case, can be aurally rendered as "of".

The complete list of MathML entities is described in [Entities].

3.1.2 Terminology Used In This Chapter

It is strongly recommended that, before reading the present chapter, one read Section 2.1 MathML Syntax and Grammar on MathML syntax and grammar, which contains important information on MathML notations and conventions. In particular, in this chapter it is assumed that the reader has an understanding of basic XML terminology described in Section 2.1.3 Children versus Arguments, and the attribute value notations and conventions described in Section 2.1.5 MathML Attribute Values.

The remainder of this section introduces MathML-specific terminology and conventions used in this chapter.

3.1.2.1 Types of presentation elements

The presentation elements are divided into two classes. Token elements represent individual symbols, names, numbers, labels, etc. Layout schemata build expressions out of parts and can have only elements as content (except for whitespace, which they ignore). These are subdivided into General Layout, Script and Limit, Tabular Math and Elementary Math schemata. There are also a few empty elements used only in conjunction with certain layout schemata.

All individual "symbols" in a mathematical expression should be represented by MathML token elements. The primary MathML token element types are identifiers (e.g. variables or function names), numbers, and operators (including fences, such as parentheses, and separators, such as commas). There are also token elements used to represent text or whitespace that has more aesthetic than mathematical significance and other elements representing "string literals" for compatibility with computer algebra systems. Note that although a token element represents a single meaningful "symbol" (name, number, label, mathematical symbol, etc.), such symbols may be comprised of more than one character. For example sin and 24 are represented by the single tokens <mi>sin</mi> and <mn>24</mn> respectively.

In traditional mathematical notation, expressions are recursively constructed out of smaller expressions, and ultimately out of single symbols, with the parts grouped and positioned using one of a small set of notational structures, which can be thought of as "expression constructors". In MathML, expressions are constructed in the same way, with the layout schemata playing the role of the expression constructors. The layout schemata specify the way in which sub-expressions are built into larger expressions. The terminology derives from the fact that each layout schema corresponds to a different way of "laying out" its sub-expressions to form a larger expression in traditional mathematical typesetting.

3.1.2.2 Terminology for other classes of elements and their relationships

The terminology used in this chapter for special classes of elements, and for relationships between elements, is as follows: The presentation elements are the MathML elements defined in this chapter. These elements are listed in Section 3.1.9 Summary of Presentation Elements. The content elements are the MathML elements defined in Chapter 4 Content Markup.

A MathML expression is a single instance of any of the presentation elements with the exception of the empty elements none or mprescripts, or is a single instance of any of the content elements which are allowed as content of presentation elements (described in Section 5.3.2 Content Markup in Presentation Markup). A sub-expression of an expression E is any MathML expression that is part of the content of E, whether directly or indirectly, i.e. whether it is a "child" of E or not.

Since layout schemata attach special meaning to the number and/or positions of their children, a child of a layout schema is also called an argument of that element. As a consequence of the above definitions, the content of a layout schema consists exactly of a sequence of zero or more elements that are its arguments.

3.1.3 Required Arguments

Many of the elements described herein require a specific number of arguments (always 1, 2, or 3). In the detailed descriptions of element syntax given below, the number of required arguments is implicitly indicated by giving names for the arguments at various positions. A few elements have additional requirements on the number or type of arguments, which are described with the individual element. For example, some elements accept sequences of zero or more arguments — that is, they are allowed to occur with no arguments at all.

Note that MathML elements encoding rendered space do count as arguments of the elements in which they appear. See Section 3.2.7 Space <mspace/> for a discussion of the proper use of such space-like elements.

3.1.3.1 Inferred <mrow>s

The elements listed in the following table as requiring 1* argument (msqrt, mstyle, merror, mpadded, mphantom, menclose, mtd, mscarry, and math) conceptually accept a single argument, but actually accept any number of children. If the number of children is 0 or is more than 1, they treat their contents as a single inferred mrow formed from all their children, and treat this mrow as the argument.

For example,

<mtd>
</mtd>

is treated as if it were

<mtd>
  <mrow>
  </mrow>
</mtd>

and

<msqrt>
  <mo> - </mo>
  <mn> 1 </mn>
</msqrt>

is treated as if it were

<msqrt>
  <mrow>
    <mo> - </mo>
    <mn> 1 </mn>
  </mrow>
</msqrt>

This feature allows MathML data not to contain (and its authors to leave out) many mrow elements that would otherwise be necessary.

3.1.3.2 Table of argument requirements

For convenience, here is a table of each element's argument count requirements and the roles of individual arguments when these are distinguished. An argument count of 1* indicates an inferred mrow as described above. Although the math element is not a presentation element, it is listed below for completeness.

Element Required argument count Argument roles (when these differ by position)
mrow 0 or more
mfrac 2 numerator denominator
msqrt 1*
mroot 2 base index
mstyle 1*
merror 1*
mpadded 1*
mphantom 1*
mfenced 0 or more
menclose 1*
msub 2 base subscript
msup 2 base superscript
msubsup 3 base subscript superscript
munder 2 base underscript
mover 2 base overscript
munderover 3 base underscript overscript
mmultiscripts 1 or more base (subscript superscript)* [<mprescripts/> (presubscript presuperscript)*]
mtable 0 or more rows 0 or more mtr or mlabeledtr elements
mlabeledtr 1 or more a label and 0 or more mtd elements
mtr 0 or more 0 or more mtd elements
mtd 1*
mstack 0 or more
mlongdiv 3 or more divisor result dividend (msrow | msgroup | mscarries | msline)*
msgroup 0 or more
msrow 0 or more
mscarries 0 or more
mscarry 1*
maction 1 or more depend on actiontype attribute
math 1*

3.1.4 Elements with Special Behaviors

Certain MathML presentation elements exhibit special behaviors in certain contexts. Such special behaviors are discussed in the detailed element descriptions below. However, for convenience, some of the most important classes of special behavior are listed here.

Certain elements are considered space-like; these are defined in Section 3.2.7 Space <mspace/>. This definition affects some of the suggested rendering rules for mo elements (Section 3.2.5 Operator, Fence, Separator or Accent <mo>).

Certain elements, e.g. msup, are able to embellish operators that are their first argument. These elements are listed in Section 3.2.5 Operator, Fence, Separator or Accent <mo>, which precisely defines an "embellished operator" and explains how this affects the suggested rendering rules for stretchy operators.

3.1.5 Directionality

In the notations familiar to most readers, both the overall layout and the textual symbols are arranged from left to right (LTR). Yet, as alluded to in the introduction, mathematics written in Hebrew or in locales such as Morocco or Persia, the overall layout is used unchanged, but the embedded symbols (often Hebrew or Arabic) are written right to left (RTL). Moreover, in most of the Arabic speaking world, the notation is arranged entirely RTL; thus a superscript is still raised, but it follows the base on the left rather than the right.

MathML 3.0 therefore recognizes two distinct directionalities: the directionality of the text and symbols within token elements and the overall directionality represented by Layout Schemata. These two facets are discussed below.

3.1.5.1 Overall Directionality of Mathematics Formulas

The overall directionality for a formula, basically the direction of the Layout Schemata, is specified by the dir attribute on the containing math element (see Section 2.2 The Top-Level math Element). The default is ltr. When dir='rtl' is used, the layout is simply the mirror image of the conventional European layout. That is, shifts up or down are unchanged, but the progression in laying out is from right to left.

For example, in a RTL layout, sub- and superscripts appear to the left of the base; the surd for a root appears at the right, with the bar continuing over the base to the left. The layout details for elements whose behaviour depends on directionality are given in the discussion of the element. In those discussions, the terms leading and trailing are used to specify a side of an object when which side to use depends on the directionality; ie. leading means left in LTR but right in RTL. The terms left and right may otherwise be safely assumed to mean left and right.

The overall directionality is usually set on the math, but may also be switched for individual subformula by using the dir attribute on mrow or mstyle elements. When not specified, all elements inherit the directionality of their container.

3.1.5.2 Bidirectional Layout in Token Elements

The text directionality comes into play for the MathML token elements that can contain text (mtext, mo, mi, mn and ms) and is determined by the Unicode properties of that text. A token element containing exclusively LTR or RTL characters is displayed straightforwardly in the given direction. When a mixture of directions is involved used, such as RTL Arabic and LTR numbers, the Unicode bidirectional algorithm [Bidi] is applied. This algorithm specifies how runs of characters with the same direction are processed and how the runs are (re)ordered. The base, or initial, direction is given by the overall directionality described above (Section 3.1.5.1 Overall Directionality of Mathematics Formulas) and affects how weakly directional characters are treated and how runs are nested. (The dir is thus allowed on token elements to specify the initial directionality that may be needed in rare cases.) Any mglyph or malignmark elements appearing within a token element are effectively neutral and have no effect on ordering.

The important thing to notice is that the bidirectional algorithm is applied independently to the contents of each token element; each token element is an independent run of characters. This is in contrast to the application of bidirectionality to HTML, where the algorithm applies to the entire sequence of characters within each block level element.

Other features of Unicode and scripts that should be respected are ‘mirroring’ and ‘glyph shaping’. Some Unicode characters are marked as being mirrored when presented in a RTL context; that is, the character is drawn as if it were mirrored or replaced by a corresponding character. Thus an opening parenthesis, ‘(’, in RTL will display as ‘)’. Conversely, the solidus (/ U+002F) is not marked as mirrored. Thus, an Arabic author that desires the slash to be reversed in an inline division should explicitly use reverse solidus (\ U+005C) or an alternative such as the mirroring DIVISION SLASH (U+2215).

Additionally, calligraphic scripts such as Arabic blend, or connect, sequences of characters together, changing their appearance. As this can have an significant impact on readability, as well as aesthetics, it is important to apply such shaping if possible. Glyph shaping, like directionality, applies to each token element's contents individually.

Please note that for the transfinite cardinals represented by Hebrew characters, the code points U+2135-U+2138 (ALEF SYMBOL, BET SYMBOL, GIMEL SYMBOL, DALET SYMBOL) should be used. These are strong left-to-right.

3.1.6 Displaystyle and Scriptlevel

So-called ‘displayed’ formulas, those appearing on a line by themselves, typically make more generous use of vertical space than inline formulas, which should blend into the adjacent text without intruding into neighboring lines. For example, in a displayed summation, the limits are placed above and below the summation symbol, while when it appears inline the limits would appear in the sub and superscript position. For similar reasons, sub- and superscripts, nested fractions and other constructs typically display in a smaller size than the main part of the formula. MathML implicitly associates with every presentation node a displaystyle and scriptlevel reflecting whether a more expansive vertical layout applies and the level of scripting in the current context.

These values are initialized by the math element according to the display attribute. They are automatically adjusted by the various script and limit schemata elements, and the elements mfrac, and mroot, which typically set displaystyle false and increment scriptlevel for some or all of their arguments. (See the description for each element for the specific rules used.) They also may be set explicitly via the displaystyle and scriptlevel attributes on the mstyle element or the displaystyle attribute of mtable. In all other cases, they are inherited from the node's parent.

The displaystyle affects the amount of vertical space used to lay out a formula: when true, the more spacious layout of displayed equations is used, whereas when false a more compact layout of inline formula is used. This primarily affects the interpretation of the largeop and movablelimits attributes of the mo element. However, more sophisticated renderers are free to use this attribute to render more or less compactly.

The main effect of scriptlevel is to control the font size. Typically, the higher the scriptlevel, the smaller the font size. (Non-visual renderers can respond to the font size in an analogous way for their medium.) Whenever the scriptlevel is changed, whether automatically or explicitly, the current font size is multiplied by the value of scriptsizemultiplier to the power of the change in scriptlevel. However, changes to the font size due to scriptlevel changes should never reduce the size below scriptminsize to prevent scripts becoming unreadably small. The default scriptsizemultiplier is approximately the square root of 1/2 whereas scriptminsize defaults to 8 points; these values may be changed on mstyle; see Section 3.3.4 Style Change <mstyle>. Note that the scriptlevel attribute of mstyle allows arbitrary values of scriptlevel to be obtained, including negative values which result in increased font sizes.

The changes to the font size due to scriptlevel should be viewed as being imposed from ‘outside’ the node. This means that the effect of scriptlevel is applied before an explicit mathsize (see Section 3.2.2 Mathematics style attributes common to token elements) on a token child of mfrac. Thus, the mathsize effectively overrides the effect of scriptlevel. However, that change to scriptlevel changes the current font size, which affects the meaning of an "em" length (see Section 2.1.5.2 Length Valued Attributes) and so the scriptlevel still may have an effect in such cases. Note also that since mathsize is not constrained by scriptminsize, such direct changes to font size can result in scripts smaller than scriptminsize.

Note that direct changes to current font size, whether by CSS or by the mathsize attribute (See Section 3.2.2 Mathematics style attributes common to token elements), have no effect on the value of scriptlevel.

TEX's \displaystyle, \textstyle, \scriptstyle, and \scriptscriptstyle correspond to displaystyle and scriptlevel as "true" and "0", "false" and "0", "false" and "1", and "false" and "2", respectively. Thus, math's display="block" corresponds to \displaystyle, while display="inline" corresponds to \textstyle.

3.1.7 Linebreaking of Expressions

3.1.7.1 Control of Linebreaks

MathML provides support for both automatic and manual (forced) linebreaking of expressions, to break excessively long expressions into several lines. All such linebreaks take place within mrow (including inferred mrow; see Section 3.1.3.1 Inferred <mrow>s) or mfenced. The breaks themselves take place at operators (mo) and also, for backwards compatibility, at mspace.

Automatic linebreaking occurs when the containing math element has overflow="linebreak" and the display engine determines that there is not enough space available to display the entire formula. The available width must therefore be known to the renderer. Like font properties, one is assumed to be inherited from the environment in which the MathML element lives. If no width can be determined, an infinite width should be assumed. Inside of a mtable, each column has some width. This width may be specified as an attribute or determined by the contents. This width should be used as the line wrapping width for linebreaking, and each entry in an mtable is linewrapped as needed.

Forced linebreaks are specified by using linebreak="newline" on a mo or mspace element. Both automatic and manual linebreaking can occur within the same formula.

Automatic linebreaking of subexpressions of mfrac, msqrt, mroot and menclose and the various script elements is not required. Renderers are free to ignore forced breaks within those elements if they choose.

Attributes on mo and possibly on mspace elements control linebreaking and indentation of the following line. The aspects of linebreaking that can be controlled are:

  • Where — attributes determine the desirability of a linebreak at a specific operator or space, in particular whether a break is required or inhibited. These can only be set on mo and mspace elements. (See Section 3.2.5.2.2 Linebreaking attributes.)

  • Operator Display/Position — when a linebreak occurs, determines whether the operator will appear at the end of the line, at the beginning of the next line, or in both positions; and how much vertical space should be added after the linebreak. These attributes can be set on mo elements or inherited from mstyle or math elements. (See Section 3.2.5.2.2 Linebreaking attributes.)

  • Indentation — determines the indentation of the line following a linebreak, including indenting so that the next line aligns with some point in a previous line. These attributes can be set on mo elements or inherited from mstyle or math elements. (See Section 3.2.5.2.3 Indentation attributes.)

3.1.7.2 Automatic Linebreaking Algorithm (Informative)

One method of linebreaking that works reasonably well is sometimes referred to as a "best-fit" algorithm. It works by computing a "penalty" for each potential break point on a line. The break point with the smallest penalty is chosen and the algorithm then works on the next line. Three useful factors in a penalty calculation are:

  1. How much of the line width (after subtracting of the indent) is unused? The more unused, the higher the penalty.

  2. How deeply nested is the breakpoint in the expression tree? The expression tree's depth is roughly similar to the nesting depth of mrows. The more deeply nested the break point, the higher the penalty.

  3. Does a linebreak here make layout of the next line difficult? If the next line is not the last line and if the indentingstyle uses information about the linebreak point to determine how much to indent, then the amount of room left for linebreaking on the next line must be considered; i.e., linebreaks that leave very little room to draw the next line result in a higher penalty.

  4. Whether "linebreak" has been specified: "nobreak" effectively sets the penalty to infinity, "badbreak" increases the penalty, "goodbreak" decreases the penalty, and "newline" effectively sets the penalty to 0.

This algorithm takes time proportional to the number of token elements times the number of lines.

3.1.8 Warning about fine-tuning of presentation

Some use-cases require precise control of the math layout and presentation. Several MathML elements and attributes expressly support such fine-tuning of the rendering. However, MathML rendering agents exhibit wide variability in their presentation of the the same MathML expression due to difference in platforms, font availability, and requirements particular to the agent itself (see Section 3.1 Introduction). The overuse of explicit rendering control may yield a ‘perfect’ layout on one platform, but give much worse presentation on others. The following sections clarify the kinds of problems that can occur.

3.1.8.1 Warning: non-portability of "tweaking"

For particular expressions, authors may be tempted to use the mpadded, mspace, mphantom, and mtext elements to improve ("tweak") the spacing generated by a specific renderer.

Without explicit spacing rules, various MathML renders may use different spacing algorithms. Consequently, different MathML renderers may position symbols in different locations relative to each other. Say that renderer B, for example, provides improved spacing for a particular expression over renderer A. Authors are strongly warned that "tweaking" the layout for renderer A may produce very poor results in renderer B, very likely worse than without any explicit adjustment at all.

Even when a specific choice of renderer can be assumed, its spacing rules may be improved in successive versions, so that the effect of tweaking in a given MathML document may grow worse with time. Also, when style sheet mechanisms are extended to MathML, even one version of a renderer may use different spacing rules for users with different style sheets.

Therefore, it is suggested that MathML markup never use mpadded or mspace elements to tweak the rendering of specific expressions, unless the MathML is generated solely to be viewed using one specific version of one MathML renderer, using one specific style sheet (if style sheets are available in that renderer).

In cases where the temptation to improve spacing proves too strong, careful use of mpadded, mphantom, or the alignment elements (Section 3.5.5 Alignment Markers <maligngroup/>, <malignmark/>) may give more portable results than the direct insertion of extra space using mspace or mtext. Advice given to the implementers of MathML renderers might be still more productive, in the long run.

3.1.8.2 Warning: spacing should not be used to convey meaning

MathML elements that permit "negative spacing", namely mspace, mpadded, and mtext, could in theory be used to simulate new notations or "overstruck" characters by the visual overlap of the renderings of more than one MathML sub-expression.

This practice is strongly discouraged in all situations, for the following reasons:

  • it will give different results in different MathML renderers (so the warning about "tweaking" applies), especially if attempts are made to render glyphs outside the bounding box of the MathML expression;

  • it is likely to appear much worse than a more standard construct supported by good renderers;

  • such expressions are almost certain to be uninterpretable by audio renderers, computer algebra systems, text searches for standard symbols, or other processors of MathML input.

More generally, any construct that uses spacing to convey mathematical meaning, rather than simply as an aid to viewing expression structure, is discouraged. That is, the constructs that are discouraged are those that would be interpreted differently by a human viewer of rendered MathML if all explicit spacing was removed.

Consider using the mglyph element for cases such as this. If such spacing constructs are used in spite of this warning, they should be enclosed in a semantics element that also provides an additional MathML expression that can be interpreted in a standard way. See Section 5.1 Annotation Framework for further discussion.

The above warning also applies to most uses of rendering attributes to alter the meaning conveyed by an expression, with the exception of attributes on mi (such as mathvariant) used to distinguish one variable from another.

3.1.9 Summary of Presentation Elements

3.1.9.1 Token Elements

mi identifier
mn number
mo operator, fence, or separator
mtext text
mspace space
ms string literal

Additionally, the mglyph element may be used within Token elements to represent non-standard symbols as images.

3.1.9.2 General Layout Schemata

mrow group any number of sub-expressions horizontally
mfrac form a fraction from two sub-expressions
msqrt form a square root (radical without an index)
mroot form a radical with specified index
mstyle style change
merror enclose a syntax error message from a preprocessor
mpadded adjust space around content
mphantom make content invisible but preserve its size
mfenced surround content with a pair of fences
menclose enclose content with a stretching symbol such as a long division sign.

3.1.9.3 Script and Limit Schemata

msub attach a subscript to a base
msup attach a superscript to a base
msubsup attach a subscript-superscript pair to a base
munder attach an underscript to a base
mover attach an overscript to a base
munderover attach an underscript-overscript pair to a base
mmultiscripts attach prescripts and tensor indices to a base

3.1.9.4 Tables and Matrices

mtable table or matrix
mlabeledtr row in a table or matrix with a label or equation number
mtr row in a table or matrix
mtd one entry in a table or matrix
maligngroup and malignmark alignment markers

3.1.9.5 Elementary Math Layout

mstack columns of aligned characters
mlongdiv similar to msgroup, with the addition of a divisor and result
msgroup a group of rows in an mstack that are shifted by similar amounts
msrow a row in an mstack
mscarries row in an mstack that whose contents represent carries or borrows
mscarry one entry in an mscarries
msline horizontal line inside of mstack

3.1.9.6 Enlivening Expressions

maction bind actions to a sub-expression

3.1.10 Mathematics style attributes common to presentation elements

In addition to the attributes listed in Section 2.1.6 Attributes Shared by all MathML Elements, all MathML presentation elements accept the following two attributes:

Name values default
mathcolor color inherited
Specifies the foreground color to use when drawing the components of this element, such as the content for token elements or any lines, surds, or other decorations. It also establishes the default mathcolor used for child elements when used on a layout element.
mathbackground color | "transparent" transparent
Specifies the background color to be used to fill in the bounding box of the element and its children. The default, "transparent", lets the background color, if any, used in the current rendering context to show through.

These style attributes are primarily intended for visual media. They are not expected to affect the intended semantics of displayed expressions, but are for use in highlighting or drawing attention to the affected subexpressions. For example, a red "x" is not assumed to be semantically different than a black "x", in contrast to variables with different mathvariant (See Section 3.2.2 Mathematics style attributes common to token elements).

Since MathML expressions are often embedded in a textual data format such as XHTML, the MathML renderer should inherit the foreground color used in the context in which the MathML appears. Note, however, that MathML doesn't specify the mechanism by which style information is inherited from the rendering environment.

Note that the suggested MathML visual rendering rules do not define the precise extent of the region whose background is affected by the mathbackground attribute, except that, when the content does not have negative dimensions and its drawing region is not overlapped by other drawing due to surrounding negative spacing, this region should lie behind all the drawing done to render the content, but should not lie behind any of the drawing done to render surrounding expressions. The effect of overlap of drawing regions caused by negative spacing on the extent of the region affected by the mathbackground attribute is not defined by these rules.

3.2 Token Elements

Token elements in presentation markup are broadly intended to represent the smallest units of mathematical notation which carry meaning. Tokens are roughly analogous to words in text. However, because of the precise, symbolic nature of mathematical notation, the various categories and properties of token elements figure prominently in MathML markup. By contrast, in textual data, individual words rarely need to be marked up or styled specially.

Frequently, tokens consist of a single character denoting a mathematical symbol. Other cases, e.g. function names, involve multi-character tokens. Further, because traditional mathematical notation makes wide use of symbols distinguished by their typographical properties (e.g. a Fraktur 'g' for a Lie algebra, or a bold 'x' for a vector), care must be taken to insure that styling mechanisms respect typographical properties which carry meaning. Consequently, characters, tokens, and typographical properties of symbols are closely related to one another in MathML.

Token elements represent identifiers (mi), numbers (mn), operators (mo), text (mtext), strings (ms) and spacing (mspace). The mglyph element may be used within token elements to represent non-standard symbols by images. Preceding detailed discussion of the individual elements, the next two subsections discuss the allowable content of token elements and the attributes common to them.

3.2.1 MathML characters in token elements

Character data in MathML markup is only allowed to occur as part of the content of token elements. Whitespace between elements is ignored. With the exception of the empty mspace element, token elements can contain any sequence of zero or more Unicode characters, or mglyph or malignmark elements. The mglyph element is used to represent non-standard characters or symbols by images; the malignmark element establishes an alignment point for use within table constructs, and is otherwise invisible (See Section 3.5.5 Alignment Markers <maligngroup/>, <malignmark/>).

MathML characters can be either represented directly as Unicode character data, or indirectly via numeric or character entity references. See Chapter 7 Characters, Entities and Fonts for a discussion of the advantages and disadvantages of numeric character references versus entity references, and [Entities] for a full list of the entity names available. Also, see Section 7.7 Anomalous Mathematical Characters for a discussion of the appropriate character content to choose for certain applications.

Token elements (other than mspace) should be rendered as their content, if any, (i.e. in the visual case, as a closely-spaced horizontal row of standard glyphs for the characters or images for the mglyphs in their content). An mspace element is rendered as a blank space of a width determined by its attributes. Rendering algorithms should also take into account the mathematics style attributes as described below, and modify surrounding spacing by rules or attributes specific to each type of token element. The directional characteristics of the content must also be respected (see Section 3.1.5.2 Bidirectional Layout in Token Elements).

3.2.1.1 Alphanumeric symbol characters

A large class of mathematical symbols are single letter identifiers typically used as variable names in formulas. Different font variants of a letter are treated as separate symbols. For example, a Fraktur 'g' might denote a Lie algebra, while a Roman 'g' denotes the corresponding Lie group. These letter-like symbols are traditionally typeset differently than the same characters appearing in text, using different spacing and ligature conventions. These characters must also be treated specially by style mechanisms, since arbitrary style transformations can change meaning in an expression.

For these reasons, Unicode contains more than nine hundred Math Alphanumeric Symbol characters corresponding to letter-like symbols. These characters are in the Secondary Multilingual Plane (SMP). See [Entities] for more information. As valid Unicode data, these characters are permitted in MathML, and as tools and fonts for them become widely available, we anticipate they will be the predominant way of denoting letter-like symbols.

MathML also provides an alternative encoding for these characters using only Basic Multilingual Plane (BMP) characters together with markup. MathML defines a correspondence between token elements with certain combinations of BMP character data and the mathvariant attribute and tokens containing SMP Math Alphanumeric Symbol characters. Processing applications that accept SMP characters are required to treat the corresponding BMP and attribute combinations identically. This is particularly important for applications that support searching and/or equality testing.

The mathvariant attribute is described in more detail in Section 3.2.2 Mathematics style attributes common to token elements, and a complete technical description of the corresponding characters is given in Section 7.5 Mathematical Alphanumeric Symbols.

3.2.1.2 Using images to represent symbols <mglyph/>

3.2.1.2.1 Description

The mglyph element provides a mechanism for displaying images to represent non-standard symbols. It may be used within the content of the token elements mi, mn, mo, mtext or ms where existing Unicode characters are not adequate.

Unicode defines a large number of characters used in mathematics, and in most cases, glyphs representing these characters are widely available in a variety of fonts. Although these characters should meet almost all users needs, MathML recognizes that mathematics is not static and that new characters and symbols are added when convenient. Characters that become well accepted will likely be eventually incorporated by the Unicode Consortium or other standards bodies, but that is often a lengthy process.

Note that the glyph's src attribute uniquely identifies the mglyph; two mglyphs with the same values for src should be considered identical by applications that must determine whether two characters/glyphs are identical.

3.2.1.2.2 Attributes

The mglyph element accepts the attributes listed in Section 3.1.10 Mathematics style attributes common to presentation elements, but note that mathcolor has no effect. The background color, mathbackground, should show through if the specified image has transparency.

mglyph also accepts the additional attributes listed here.

Name values default
src URI required
Specifies the location of the image resource; it may be a URI relative to the base-URI of the source of the MathML, if any. Examples of widely recognized image formats include GIF, JPEG and PNG; However, it may be advisable to omit the extension from the src URI, so that a user agent may use content-negotiation to choose the most appropriate format.
width length from image
Specifies the desired width of the glyph; see height.
height length from image
Specifies the desired height of the glyph. If only one of width and height are given, the image should be scaled to preserve the aspect ratio; if neither are given, the image should be displayed at its natural size.
valign length | "top" | "middle" | "bottom" 0em
Specifies the alignment point of the image with respect to its siblings. A positive value shifts the bottom of the image above the current baseline, while a negative value lowers it. The keyword "top" aligns the top of the image with the top of siblings within the current mrow (implied or explicit); "middle" aligns the middle of the image to the middle of its siblings; "bottom" aligns the bottom of the image to the bottom (not necessarily the baseline) of its siblings. By default, the bottom of the image aligns to the baseline.
alt string required
Provides an alternate name for the glyph. If the specified image can't be found or displayed, the renderer may use this name in a warning message or some unknown glyph notation. The name might also be used by an audio renderer or symbol processing system and should be chosen to be descriptive.
3.2.1.2.3 Example

The following example illustrates how a researcher might use the mglyph construct with a set of images to work with braid group notation.

<mrow>
  <mi><mglyph src="my-braid-23" alt="2 3 braid"/></mi>
  <mo>+</mo>
  <mi><mglyph src="my-braid-132" alt="1 3 2 braid"/></mi>
  <mo>=</mo>
  <mi><mglyph src="my-braid-13" alt="1 3 braid"/></mi>
</mrow>

This might render as:

\includegraphics{braids}

3.2.1.2.4 Deprecated Attributes

Originally, mglyph was designed to provide access to non-standard fonts. Since this functionality was seldom implemented, nor were downloadable web fonts widely available, this use of mglyph has been deprecated. For reference, the following attributes were previously defined:

Name values
fontfamily string
the name of a font that may be available to a MathML renderer, or a CSS font specification; See Section 6.5 Using CSS with MathML and CSS [CSS21] for more information.
index integer
Specified a position of the desired glyph within the font named by the fontfamily attribute (see Section 3.2.2.1 Deprecated style attributes on token elements).

In MathML 1 and 2, both were required attributes; they are now optional and should be ignored unless the src attribute is missing.

Additionally, in MathML 2, mglyph accepted the attributes described in Section 3.2.2 Mathematics style attributes common to token elements (mathvariant and mathsize, along with the attributes deprecated there); to make clear that mglyph is not a token element, and since these attributes have no effect in any case, these attributes have been deprecated.

3.2.2 Mathematics style attributes common to token elements

In addition to the attributes defined for all presentation elements (Section 3.1.10 Mathematics style attributes common to presentation elements), MathML includes two mathematics style attributes as well as a directionality attribute valid on all presentation token elements, and on no other elements except mstyle. The attributes are:

Name values default
mathvariant "normal" | "bold" | "italic" | "bold-italic" | "double-struck" | "bold-fraktur" | "script" | "bold-script" | "fraktur" | "sans-serif" | "bold-sans-serif" | "sans-serif-italic" | "sans-serif-bold-italic" | "monospace" | "initial" | "tailed" | "looped" | "stretched" normal (except on <mi>)
Specifies the logical class of the token. Note that this class is more than styling, it typically conveys semantic intent; see the discussion below.
mathsize "small" | "normal" | "big" | length inherited
Specifies the size to display the token content. The values "small" and "big" choose a size smaller or larger than the current font size, but leave the exact proportions unspecified; "normal" is allowed for completeness, but since it is equivalent to "100%" or "1em", it has no effect.
dir "ltr" | "rtl" inherited
specifies the initial directionality for text within the token: ltr (Left To Right) or rtl (Right To Left). This attribute should only be needed in rare cases involving weak or neutral characters; see Section 3.1.5.1 Overall Directionality of Mathematics Formulas for further discussion.

The mathvariant attribute defines logical classes of token elements. Each class provides a collection of typographically-related symbolic tokens. Each token has a specific meaning within a given mathematical expression, and, therefore, needs to be visually distinguished and protected from inadvertent document-wide style changes which might change its meaning. Each token is identified by the combination of the mathvariant attribute value and the character data in the token element.

When MathML rendering takes place in an environment where CSS is available, the mathematics style attributes can be viewed as predefined selectors for CSS style rules. See Section 6.5 Using CSS with MathML for discussion of the interaction of MathML and CSS. Also, see [MathMLforCSS] for discussion of rendering MathML by CSS and a sample CSS style sheet. When CSS is not available, it is up to the internal style mechanism of the rendering application to visually distinguish the different logical classes. Most MathML renderers will probably want to rely on some degree to additional, internal style processing algorithms. In particular, the mathvariant attribute does not follow the CSS inheritance model; the default value is "normal" (non-slanted) for all tokens except for mi with single-character content. See Section 3.2.3 Identifier <mi> for details.

Renderers have complete freedom in mapping mathematics style attributes to specific rendering properties. However, in practice, the mathematics style attribute names and values suggest obvious typographical properties, and renderers should attempt to respect these natural interpretations as far as possible. For example, it is reasonable to render a token with the mathvariant attribute set to "sans-serif" in Helvetica or Arial. However, rendering the token in a Times Roman font could be seriously misleading and should be avoided.

In principle, any mathvariant value may be used with any character data to define a specific symbolic token. In practice, only certain combinations of character data and mathvariant values will be visually distinguished by a given renderer. For example, there is no clear-cut rendering for a "fraktur alpha" or a "bold italic Kanji" character, and the mathvariant values "initial", "tailed", "looped", and "stretched" are appropriate only for Arabic characters.

Certain combinations of character data and mathvariant values are equivalent to assigned Unicode code points that encode mathematical alphanumeric symbols. These Unicode code points are the ones in the SMP Mathematical Alphanumeric Symbol range U+1D400 to U+1D7FF, listed in the Unicode standard, and the ones in the Letterlike Symbols range U+2100 to U+214F that represent "holes" in the alphabets in the SMP, listed in Section 7.5 Mathematical Alphanumeric Symbols. These characters are described in detail in section 2.2 of UTR #25. The description of each such character in the Unicode standard provides an unstyled character to which it would be equivalent except for a font change that corresponds to a mathvariant value. A token element that uses the unstyled character in combination with the corresponding mathvariant value is equivalent to a token element that uses the mathematical alphanumeric symbol character without the mathvariant attribute. Note that the appearance of a mathematical alphanumeric symbol character should not be altered by surrounding mathvariant or other style declarations.

Renderers should support those combinations of character data and mathvariant values that correspond to Unicode characters, and that they can visually distinguish using available font characters. Renderers may ignore or support those combinations of character data and mathvariant values that do not correspond to an assigned Unicode code point, and authors should recognize that support for mathematical symbols that do not correspond to assigned Unicode code points may vary widely from one renderer to another.

Since MathML expressions are often embedded in a textual data format such as XHTML, the surrounding text and the MathML must share rendering attributes such as font size, so that the renderings will be compatible in style. For this reason, most attribute values affecting text rendering are inherited from the rendering environment, as shown in the "default" column in the table above. (In cases where the surrounding text and the MathML are being rendered by separate software, e.g. a browser and a plug-in, it is also important for the rendering environment to provide the MathML renderer with additional information, such as the baseline position of surrounding text, which is not specified by any MathML attributes.) Note, however, that MathML doesn't specify the mechanism by which style information is inherited from the rendering environment.

If the requested mathsize of the current font is not available, the renderer should approximate it in the manner likely to lead to the most intelligible, highest quality rendering. Note that many MathML elements automatically change the font size in some of their children; see the discussion in Section 3.1.6 Displaystyle and Scriptlevel.

3.2.2.1 Deprecated style attributes on token elements

The MathML 1.01 style attributes listed below are deprecated in MathML 2 and 3. These attributes were aligned to CSS, but in rendering environments that support CSS, it is preferable to use CSS directly to control the rendering properties corresponding to these attributes, rather than the attributes themselves. However as explained above, direct manipulation of these rendering properties by whatever means should usually be avoided. As a general rule, whenever there is a conflict between these deprecated attributes and the corresponding attributes (Section 3.2.2 Mathematics style attributes common to token elements), the former attributes should be ignored.

The deprecated attributes are:

Name values default
fontfamily string inherited
Should be the name of a font that may be available to a MathML renderer, or a CSS font specification; See Section 6.5 Using CSS with MathML and CSS [CSS21] for more information. Deprecated in favor of mathvariant.
fontweight "normal" | "bold" inherited
Specified the font weight for the token. Deprecated in favor of mathvariant.
fontstyle "normal" | "italic" normal (except on <mi>)
Specified the font style to use for the token. Deprecated in favor of mathvariant.
fontsize length inherited
Specified the size for the token. Deprecated in favor of mathsize.
color color inherited
Specified the color for the token. Deprecated in favor of mathcolor.
background color | "transparent" transparent
Specified the background color to be used to fill in the bounding box of the element and its children. Deprecated in favor of mathbackground.

3.2.3 Identifier <mi>

3.2.3.1 Description

An mi element represents a symbolic name or arbitrary text that should be rendered as an identifier. Identifiers can include variables, function names, and symbolic constants. A typical graphical renderer would render an mi element as its content (See Section 3.2.1 MathML characters in token elements), with no extra spacing around it (except spacing associated with neighboring elements).

Not all "mathematical identifiers" are represented by mi elements — for example, subscripted or primed variables should be represented using msub or msup respectively. Conversely, arbitrary text playing the role of a "term" (such as an ellipsis in a summed series) can be represented using an mi element, as shown in an example in Section 3.2.6.4 Mixing text and mathematics.

It should be stressed that mi is a presentation element, and as such, it only indicates that its content should be rendered as an identifier. In the majority of cases, the contents of an mi will actually represent a mathematical identifier such as a variable or function name. However, as the preceding paragraph indicates, the correspondence between notations that should render as identifiers and notations that are actually intended to represent mathematical identifiers is not perfect. For an element whose semantics is guaranteed to be that of an identifier, see the description of ci in Chapter 4 Content Markup.

3.2.3.2 Attributes

mi elements accept the attributes listed in Section 3.2.2 Mathematics style attributes common to token elements, but in one case with a different default value:

Name values default
mathvariant "normal" | "bold" | "italic" | "bold-italic" | "double-struck" | "bold-fraktur" | "script" | "bold-script" | "fraktur" | "sans-serif" | "bold-sans-serif" | "sans-serif-italic" | "sans-serif-bold-italic" | "monospace" | "initial" | "tailed" | "looped" | "stretched" (depends on content; described below)
Specifies the logical class of the token. The default is "normal" (non-slanted) unless the content is a single character, in which case it would be "italic".

Note that the deprecated fontstyle attribute defaults in the same way as mathvariant, depending on the content.

Note that for purposes of determining equivalences of Math Alphanumeric Symbol characters (See Section 7.5 Mathematical Alphanumeric Symbols and Section 3.2.1.1 Alphanumeric symbol characters) the value of the mathvariant attribute should be resolved first, including the special defaulting behavior described above.

3.2.3.3 Examples

<mi> x </mi>
<mi> D </mi>
<mi> sin </mi>
<mi mathvariant='script'> L </mi>
<mi></mi>

An mi element with no content is allowed; <mi></mi> might, for example, be used by an "expression editor" to represent a location in a MathML expression which requires a "term" (according to conventional syntax for mathematics) but does not yet contain one.

Identifiers include function names such as "sin". Expressions such as "sin x" should be written using the character U+2061 (which also has the entity names &af; and &ApplyFunction;) as shown below; see also the discussion of invisible operators in Section 3.2.5 Operator, Fence, Separator or Accent <mo>.

<mrow>
  <mi> sin </mi>
  <mo> &#x2061;<!--FUNCTION APPLICATION--> </mo>
  <mi> x </mi>
</mrow>

Miscellaneous text that should be treated as a "term" can also be represented by an mi element, as in:

<mrow>
  <mn> 1 </mn>
  <mo> + </mo>
  <mi> ... </mi>
  <mo> + </mo>
  <mi> n </mi>
</mrow>

When an mi is used in such exceptional situations, explicitly setting the mathvariant attribute may give better results than the default behavior of some renderers.

The names of symbolic constants should be represented as mi elements:

<mi> &#x3C0;<!--GREEK SMALL LETTER PI--> </mi>
<mi> &#x2148;<!--DOUBLE-STRUCK ITALIC SMALL I--> </mi>
<mi> &#x2147;<!--DOUBLE-STRUCK ITALIC SMALL E--> </mi>

3.2.4 Number <mn>

3.2.4.1 Description

An mn element represents a "numeric literal" or other data that should be rendered as a numeric literal. Generally speaking, a numeric literal is a sequence of digits, perhaps including a decimal point, representing an unsigned integer or real number. A typical graphical renderer would render an mn element as its content (See Section 3.2.1 MathML characters in token elements), with no extra spacing around them (except spacing from neighboring elements such as mo). mn elements are typically rendered in an unslanted font.

The mathematical concept of a "number" can be quite subtle and involved, depending on the context. As a consequence, not all mathematical numbers should be represented using mn; examples of mathematical numbers that should be represented differently are shown below, and include complex numbers, ratios of numbers shown as fractions, and names of numeric constants.

Conversely, since mn is a presentation element, there are a few situations where it may desirable to include arbitrary text in the content of an mn that should merely render as a numeric literal, even though that content may not be unambiguously interpretable as a number according to any particular standard encoding of numbers as character sequences. As a general rule, however, the mn element should be reserved for situations where its content is actually intended to represent a numeric quantity in some fashion. For an element whose semantics are guaranteed to be that of a particular kind of mathematical number, see the description of cn in Chapter 4 Content Markup.

3.2.4.2 Attributes

mn elements accept the attributes listed in Section 3.2.2 Mathematics style attributes common to token elements.

3.2.4.3 Examples

<mn> 2 </mn>
<mn> 0.123 </mn>
<mn> 1,000,000 </mn>
<mn> 2.1e10 </mn>
<mn> 0xFFEF </mn>
<mn> MCMLXIX </mn>
<mn> twenty one </mn>

3.2.4.4 Numbers that should not be written using <mn> alone

Many mathematical numbers should be represented using presentation elements other than mn alone; this includes complex numbers, ratios of numbers shown as fractions, and names of numeric constants. Examples of MathML representations of such numbers include:

<mrow>
  <mn> 2 </mn>
  <mo> + </mo>
  <mrow>
    <mn> 3 </mn>
    <mo> &#x2062;<!--INVISIBLE TIMES--> </mo>
    <mi> &#x2148;<!--DOUBLE-STRUCK ITALIC SMALL I--> </mi>
  </mrow>
</mrow>
<mfrac> <mn> 1 </mn> <mn> 2 </mn> </mfrac>
<mi> &#x3C0;<!--GREEK SMALL LETTER PI--> </mi>
<mi> &#x2147;<!--DOUBLE-STRUCK ITALIC SMALL E--> </mi>

3.2.5 Operator, Fence, Separator or Accent <mo>

3.2.5.1 Description

An mo element represents an operator or anything that should be rendered as an operator. In general, the notational conventions for mathematical operators are quite complicated, and therefore MathML provides a relatively sophisticated mechanism for specifying the rendering behavior of an mo element. As a consequence, in MathML the list of things that should "render as an operator" includes a number of notations that are not mathematical operators in the ordinary sense. Besides ordinary operators with infix, prefix, or postfix forms, these include fence characters such as braces, parentheses, and "absolute value" bars, separators such as comma and semicolon, and mathematical accents such as a bar or tilde over a symbol. We will use the term "operator" in this chapter to refer to operators in this broad sense.

Typical graphical renderers show all mo elements as the content (See Section 3.2.1 MathML characters in token elements), with additional spacing around the element determined by its attributes and further described below. Renderers without access to complete fonts for the MathML character set may choose not to render an mo element as precisely the characters in its content in some cases. For example, <mo> &le; </mo> might be rendered as <= to a terminal. However, as a general rule, renderers should attempt to render the content of an mo element as literally as possible. That is, <mo> &le; </mo> and <mo> &lt;= </mo> should render differently. The first one should render as a single character representing a less-than-or-equal-to sign, and the second one as the two-character sequence <=.

Operators, in the general sense used here, are subject to essentially the same rendering attributes and rules; subtle distinctions in the rendering of these classes of symbols, when they exist, are supported using the Boolean attributes fence, separator and accent, which can be used to distinguish these cases.

A key feature of the mo element is that its default attribute values are set on a case-by-case basis from an "operator dictionary" as explained below. In particular, default values for fence, separator and accent can usually be found in the operator dictionary and therefore need not be specified on each mo element.

Note that some mathematical operators are represented not by mo elements alone, but by mo elements "embellished" with (for example) surrounding superscripts; this is further described below. Conversely, as presentation elements, mo elements can contain arbitrary text, even when that text has no standard interpretation as an operator; for an example, see the discussion "Mixing text and mathematics" in Section 3.2.6 Text <mtext>. See also Chapter 4 Content Markup for definitions of MathML content elements that are guaranteed to have the semantics of specific mathematical operators.

Note also that linebreaking, as discussed in Section 3.1.7 Linebreaking of Expressions, usually takes place at operators (either before or after, depending on local conventions). Thus, mo accepts attributes to encode the desirability of breaking at a particular operator, as well as attributes describing the treatment of the operator and indentation in case the a linebreak is made at that operator.

3.2.5.2 Attributes

mo elements accept the attributes listed in Section 3.2.2 Mathematics style attributes common to token elements and the additional attributes listed here. Since the display of operators is so critical in mathematics, the mo element accepts a large number of attributes; these are described in the next three subsections.

Most attributes get their default values from an enclosing mstyle element, math element, or from the Section 3.2.5.7.1 The operator dictionary, as described later in this section. When a value that is listed as "inherited" is not explicitly given on an mo, mstyle element, math element, or found in the operator dictionary for a given mo element, the default value shown in parentheses is used. The attributes may also appear on any ancestor of the math element, if permitted by the containing document, to provide defaults for all contained math elements. In such cases, the attributes would be in the MathML namespace.

3.2.5.2.1 Dictionary-based attributes
Name values default
form "prefix" | "infix" | "postfix" set by position of operator in an mrow
Specifies the role of the operator in the enclosing expression. This role and the operator content affect the lookup of the operator in the operator dictionary which affects the spacing and other default properties; see Section 3.2.5.7.2 Default value of the form attribute.
fence "true" | "false" set by dictionary (false)
Specifies whether the operator represents a ‘fence’, such as a parenthesis. This attribute generally has no direct effect on the visual rendering, but may be useful in specific cases, such as non-visual renderers.
separator "true" | "false" set by dictionary (false)
Specifies whether the operator represents a ‘separator’, or punctuation. This attribute generally has no direct effect on the visual rendering, but may be useful in specific cases, such as non-visual renderers.
lspace length set by dictionary (thickmathspace)
Specifies the leading space appearing before the operator; see Section 3.2.5.7.5 Spacing around an operator. (Note that before is on the right in a RTL context; see Section 3.1.5 Directionality).
rspace length set by dictionary (thickmathspace)
Specifies the trailing space appearing after the operator; see Section 3.2.5.7.5 Spacing around an operator. (Note that after is on the left in a RTL context; see Section 3.1.5 Directionality).
stretchy "true" | "false" set by dictionary (false)
Specifies whether the operator should stretch to the size of adjacent material; see Section 3.2.5.8 Stretching of operators, fences and accents.
symmetric "true" | "false" set by dictionary (false)
Specifies whether the operator should be kept symmetric around the math axis when stretchy. glossary Note that the default is true, but this property only applies to vertically stretched symbols. See Section 3.2.5.8 Stretching of operators, fences and accents.
maxsize length | "infinity" set by dictionary (infinity)
Specifies the maximum size of the operator when stretchy; see Section 3.2.5.8 Stretching of operators, fences and accents.
minsize length set by dictionary (1em)
Specifies the minimum size of the operator when stretchy; see Section 3.2.5.8 Stretching of operators, fences and accents.
largeop "true" | "false" set by dictionary (false)
Specifies whether the operator is considered a ‘large’ operator, that is, whether it should be drawn larger than normal when displaystyle="true" (similar to using TEX's \displaystyle). Examples of large operators include &int; and &prod;. See Section 3.1.6 Displaystyle and Scriptlevel for more discussion.
movablelimits "true" | "false" set by dictionary (false)
Specifies whether under- and overscripts attached to this operator ‘move’ to the more compact sub- and superscript positions when displaystyle is false. Examples of operators that typically have movablelimits="true" are &sum;, &prod;, and lim. See Section 3.1.6 Displaystyle and Scriptlevel for more discussion.
accent "true" | "false" set by dictionary (false)
Specifies whether this operator should be treated as an accent (diacritical mark) when used as an underscript or overscript; see munder, mover and munderover.
3.2.5.2.2 Linebreaking attributes

The following attributes affect when a linebreak does or does not occur, and the appearance of the linebreak when it does occur.

Name values default
linebreak "auto" | "newline" | "nobreak" | "goodbreak" | "badbreak" auto
Specifies the desirability of a linebreak occurring at this operator: the default "auto" indicates the renderer should use its default linebreaking algorithm to determine whether to break; "newline" is used to force a linebreak; For automatic linebreaking, "nobreak" forbids a break; "goodbreak" suggests a good position; "badbreak" suggests a poor position.
lineleading length inherited (100%)
Specifies the amount of vertical space to use after a linebreak. For tall lines, it is often clearer to use more leading at linebreaks. Rendering agents are free to choose an appropriate default.
linebreakstyle "before" | "after" | "duplicate" | "infixlinebreakstyle" set by dictionary (before)
Specifies whether a linebreak occurs ‘before’ or ‘after’ the operator when a linebreaks occur on this operator; or whether the operator is duplicated. "before" causes the operator to appears at the beginning of the new line (but possibly indented); "after" causes it to appear at the end of the line before the break. "duplicate" places the operator at both positions. "infixlinebreakstyle" uses the value that has been specified for infix operators; This value (one of "before", "after" or "duplicate") can be specified by the application or bound by mstyle ("before" corresponds to the most common style of linebreaking).
linebreakmultchar string inherited (&InvisibleTimes;)
Specifies the character used to make an &InvisibleTimes; operator visible at a linebreak. For example, linebreakmultchar="&#xB7;" would make the multiplication visible as a center dot.
3.2.5.2.3 Indentation attributes

The following attributes affect indentation of the lines making up a formula. Primarily these are to control the positioning of new lines following a linebreak, whether automatic or manual. However, indentalignfirst and indentshiftfirst also control the positioning of single line formula without any linebreaks.

Formula indentation only applies to displayed equations (ie. display="block"). When these attributes appear on mo or mspace they apply if a linebreak occurs at that element. When they appear on mstyle or math elements, they determine defaults for the style to be used for any linebreaks occurring within. Note that except for cases where heavily marked-up manual linebreaking is desired, many of these attributes are most useful when bound on an mstyle or math element.

Note that since the rendering context, such as available the width and current font, is not always available to the author of the MathML, a render may ignore the values of these attributes if they result in a line in which the remaining width is too small to usefully display the expression or if they result in a line in which the remaining width exceeds the available linewrapping width.

Name values default
indentalign "left" | "center" | "right" | "auto" | "id" inherited (auto)
Specifies the positioning of lines when linebreaking takes place within an mrow; see below for discussion of the attribute values.
indentshift length inherited (0)
Specifies an additional indentation offset relative to the position determined by indentalign.
indenttarget idref inherited (none)
Specifies the id of another element whose horizontal position determines the position of indented lines when indentalign="id". Note that the identified element may be outside of the current math element, allowing for inter-expression alignment, or may be within invisible content such as mphantom; it must appear before being referenced, however. This may lead to an id being unavailable to a given renderer; in such cases, the indentalign should revert to "auto".
indentalignfirst "left" | "center" | "right" | "auto" | "id" | "indentalign" inherited (indentalign)
Specifies the indentation style to use for the first line of a formula; the value "indentalign" (the default) means to indent the same way as used for the general line.
indentshiftfirst length | "indentshift" inherited (indentshift)
Specifies the offset to use for the first line of a formula; the value "indentshift" (the default) means to use the same offset as used for the general line.
indentalignlast "left" | "center" | "right" | "auto" | "id" | "indentalign" inherited (indentalign)
Specifies the indentation style to use for the last line when a linebreak occurs within a given mrow; the value "indentalign" (the default) means to indent the same way as used for the general line. When there are exactly two lines, the value of this attribute should be used for the second line in preference to indentalign.
indentshiftlast length | "indentshift" inherited (indentshift)
Specifies the offset to use for the last line when a linebreak occurs within a given mrow; the value "indentshift" (the default) means to indent the same way as used for the general line. When there are exactly two lines, the value of this attribute should be used for the second line in preference to indentshift.

The legal values of indentalign are:

Value Meaning
left Align the left side of the next line to the left side of the line wrapping width
center Align the center of the next line to the center of the line wrapping width
right Align the right side of the next line to the right side of the line wrapping width
auto (default) indent using the renderer's default indenting style; this may be a fixed amount or one that varies with the depth of the element in the mrow nesting or some other similar method.
id Align the left side of the next line to the left side of the element referenced by the idref (given by indenttarget); if no such element exists, use "auto" as the indentalign value

3.2.5.3 Examples with ordinary operators

<mo> + </mo>
<mo> &lt; </mo>
<mo> &#x2264;<!--LESS-THAN OR EQUAL TO--> </mo>
<mo> &lt;= </mo>
<mo> ++ </mo>
<mo> &#x2211;<!--N-ARY SUMMATION--> </mo>
<mo> .NOT. </mo>
<mo> and </mo>
<mo> &#x2062;<!--INVISIBLE TIMES--> </mo>
<mo mathvariant='bold'> + </mo>

3.2.5.4 Examples with fences and separators

Note that the mo elements in these examples don't need explicit fence or separator attributes, since these can be found using the operator dictionary as described below. Some of these examples could also be encoded using the mfenced element described in Section 3.3.8 Expression Inside Pair of Fences <mfenced>.

(a+b)

<mrow>
  <mo> ( </mo>
  <mrow>
    <mi> a </mi>
    <mo> + </mo>
    <mi> b </mi>
  </mrow>
  <mo> ) </mo>
</mrow>

[0,1)

<mrow>
  <mo> [ </mo>
  <mrow>
    <mn> 0 </mn>
    <mo> , </mo>
    <mn> 1 </mn>
  </mrow>
  <mo> ) </mo>
</mrow>

f(x,y)

<mrow>
  <mi> f </mi>
  <mo> &#x2061;<!--FUNCTION APPLICATION--> </mo>
  <mrow>
    <mo> ( </mo>
    <mrow>
      <mi> x </mi>
      <mo> , </mo>
      <mi> y </mi>
    </mrow>
    <mo> ) </mo>
  </mrow>
</mrow>

3.2.5.5 Invisible operators

Certain operators that are "invisible" in traditional mathematical notation should be represented using specific entity references within mo elements, rather than simply by nothing. The characters used for these "invisible operators" are:

Character Entity name Short name Examples of use
U+2061 &ApplyFunction; &af; f(x) sin x
U+2062 &InvisibleTimes; &it; xy
U+2063 &InvisibleComma; &ic; m12
U+2064 &InvisiblePlus; &ip;

The MathML representations of the examples in the above table are:

<mrow>
  <mi> f </mi>
  <mo> &#x2061;<!--FUNCTION APPLICATION--> </mo>
  <mrow>
    <mo> ( </mo>
    <mi> x </mi>
    <mo> ) </mo>
  </mrow>
</mrow>

<mrow>
  <mi> sin </mi>
  <mo> &#x2061;<!--FUNCTION APPLICATION--> </mo>
  <mi> x </mi>
</mrow>

<mrow>
  <mi> x </mi>
  <mo> &#x2062;<!--INVISIBLE TIMES--> </mo>
  <mi> y </mi>
</mrow>

<msub>
  <mi> m </mi>
  <mrow>
    <mn> 1 </mn>
    <mo> &#x2063;<!--INVISIBLE SEPARATOR--> </mo>
    <mn> 2 </mn>
  </mrow>
</msub>

<mrow>
  <mn> 2 </mn>
  <mo> &#x2064; </mo>
  <mfrac>
    <mn> 3 </mn>
    <mn> 4 </mn>
  </mfrac>
</mrow>

The reasons for using specific mo elements for invisible operators include:

  • such operators should often have specific effects on visual rendering (particularly spacing and linebreaking rules) that are not the same as either the lack of any operator, or spacing represented by mspace or mtext elements;

  • these operators should often have specific audio renderings different than that of the lack of any operator;

  • automatic semantic interpretation of MathML presentation elements is made easier by the explicit specification of such operators.

For example, an audio renderer might render f(x) (represented as in the above examples) by speaking "f of x", but use the word "times" in its rendering of xy. Although its rendering must still be different depending on the structure of neighboring elements (sometimes leaving out "of" or "times" entirely), its task is made much easier by the use of a different mo element for each invisible operator.

3.2.5.6 Names for other special operators

MathML also includes &DifferentialD; (U+2146) for use in an mo element representing the differential operator symbol usually denoted by "d". The reasons for explicitly using this special character are similar to those for using the special characters for invisible operators described in the preceding section.

3.2.5.7 Detailed rendering rules for <mo> elements

Typical visual rendering behaviors for mo elements are more complex than for the other MathML token elements, so the rules for rendering them are described in this separate subsection.

Note that, like all rendering rules in MathML, these rules are suggestions rather than requirements. Furthermore, no attempt is made to specify the rendering completely; rather, enough information is given to make the intended effect of the various rendering attributes as clear as possible.

3.2.5.7.1 The operator dictionary

Many mathematical symbols, such as an integral sign, a plus sign, or a parenthesis, have a well-established, predictable, traditional notational usage. Typically, this usage amounts to certain default attribute values for mo elements with specific contents and a specific form attribute. Since these defaults vary from symbol to symbol, MathML anticipates that renderers will have an "operator dictionary" of default attributes for mo elements (see Appendix C Operator Dictionary) indexed by each mo element's content and form attribute. If an mo element is not listed in the dictionary, the default values shown in parentheses in the table of attributes for mo should be used, since these values are typically acceptable for a generic operator.

Some operators are "overloaded", in the sense that they can occur in more than one form (prefix, infix, or postfix), with possibly different rendering properties for each form. For example, "+" can be either a prefix or an infix operator. Typically, a visual renderer would add space around both sides of an infix operator, while only in front of a prefix operator. The form attribute allows specification of which form to use, in case more than one form is possible according to the operator dictionary and the default value described below is not suitable.

3.2.5.7.2 Default value of the form attribute

The form attribute does not usually have to be specified explicitly, since there are effective heuristic rules for inferring the value of the form attribute from the context. If it is not specified, and there is more than one possible form in the dictionary for an mo element with given content, the renderer should choose which form to use as follows (but see the exception for embellished operators, described later):

  • If the operator is the first argument in an mrow of length (i.e. number of arguments) greater than one (ignoring all space-like arguments (see Section 3.2.7 Space <mspace/>) in the determination of both the length and the first argument), the prefix form is used;

  • if it is the last argument in an mrow of length greater than one (ignoring all space-like arguments), the postfix form is used;

  • in all other cases, including when the operator is not part of an mrow, the infix form is used.

Note that the mrow discussed above may be inferred; See Section 3.1.3.1 Inferred <mrow>s.

Opening fences should have form="prefix", and closing fences should have form="postfix"; separators are usually "infix", but not always, depending on their surroundings. As with ordinary operators, these values do not usually need to be specified explicitly.

If the operator does not occur in the dictionary with the specified form, the renderer should use one of the forms that is available there, in the order of preference: infix, postfix, prefix; if no forms are available for the given mo element content, the renderer should use the defaults given in parentheses in the table of attributes for mo.

3.2.5.7.3 Exception for embellished operators

There is one exception to the above rules for choosing an mo element's default form attribute. An mo element that is "embellished" by one or more nested subscripts, superscripts, surrounding text or whitespace, or style changes behaves differently. It is the embellished operator as a whole (this is defined precisely, below) whose position in an mrow is examined by the above rules and whose surrounding spacing is affected by its form, not the mo element at its core; however, the attributes influencing this surrounding spacing are taken from the mo element at the core (or from that element's dictionary entry).

For example, the "+4" in a+4b should be considered an infix operator as a whole, due to its position in the middle of an mrow, but its rendering attributes should be taken from the mo element representing the "+", or when those are not specified explicitly, from the operator dictionary entry for <mo form="infix"> + </mo>. The precise definition of an "embellished operator" is:

  • an mo element;

  • or one of the elements msub, msup, msubsup, munder, mover, munderover, mmultiscripts, mfrac, or semantics (Section 5.1 Annotation Framework), whose first argument exists and is an embellished operator;

  • or one of the elements mstyle, mphantom, or mpadded, such that an mrow containing the same arguments would be an embellished operator;

  • or an maction element whose selected sub-expression exists and is an embellished operator;

  • or an mrow whose arguments consist (in any order) of one embellished operator and zero or more space-like elements.

Note that this definition permits nested embellishment only when there are no intervening enclosing elements not in the above list.

The above rules for choosing operator forms and defining embellished operators are chosen so that in all ordinary cases it will not be necessary for the author to specify a form attribute.

3.2.5.7.4 Rationale for definition of embellished operators

The following notes are included as a rationale for certain aspects of the above definitions, but should not be important for most users of MathML.

An mfrac is included as an "embellisher" because of the common notation for a differential operator:

<mfrac>
  <mo> &#x2146;<!--DOUBLE-STRUCK ITALIC SMALL D--> </mo>
  <mrow>
    <mo> &#x2146;<!--DOUBLE-STRUCK ITALIC SMALL D--> </mo>
    <mi> x </mi>
  </mrow>
</mfrac>

Since the definition of embellished operator affects the use of the attributes related to stretching, it is important that it includes embellished fences as well as ordinary operators; thus it applies to any mo element.

Note that an mrow containing a single argument is an embellished operator if and only if its argument is an embellished operator. This is because an mrow with a single argument must be equivalent in all respects to that argument alone (as discussed in Section 3.3.1 Horizontally Group Sub-Expressions <mrow>). This means that an mo element that is the sole argument of an mrow will determine its default form attribute based on that mrow's position in a surrounding, perhaps inferred, mrow (if there is one), rather than based on its own position in the mrow in which it is the sole argument.

Note that the above definition defines every mo element to be "embellished" — that is, "embellished operator" can be considered (and implemented in renderers) as a special class of MathML expressions, of which mo is a specific case.

3.2.5.7.5 Spacing around an operator

The amount of horizontal space added around an operator (or embellished operator), when it occurs in an mrow, can be directly specified by the lspace and rspace attributes. Note that lspace and rspace should be interpreted as leading and trailing space, in the case of RTL direction. By convention, operators that tend to bind tightly to their arguments have smaller values for spacing than operators that tend to bind less tightly. This convention should be followed in the operator dictionary included with a MathML renderer.

Some renderers may choose to use no space around most operators appearing within subscripts or superscripts, as is done in TEX.

Non-graphical renderers should treat spacing attributes, and other rendering attributes described here, in analogous ways for their rendering medium. For example, more space might translate into a longer pause in an audio rendering.

3.2.5.8 Stretching of operators, fences and accents

Four attributes govern whether and how an operator (perhaps embellished) stretches so that it matches the size of other elements: stretchy, symmetric, maxsize, and minsize. If an operator has the attribute stretchy="true", then it (that is, each character in its content) obeys the stretching rules listed below, given the constraints imposed by the fonts and font rendering system. In practice, typical renderers will only be able to stretch a small set of characters, and quite possibly will only be able to generate a discrete set of character sizes.

There is no provision in MathML for specifying in which direction (horizontal or vertical) to stretch a specific character or operator; rather, when stretchy="true" it should be stretched in each direction for which stretching is possible and reasonable for that character. It is up to the renderer to know in which directions it is reasonable to stretch a character, if it can stretch the character. Most characters can be stretched in at most one direction by typical renderers, but some renderers may be able to stretch certain characters, such as diagonal arrows, in both directions independently.

The minsize and maxsize attributes limit the amount of stretching (in either direction). These two attributes are given as multipliers of the operator's normal size in the direction or directions of stretching, or as absolute sizes using units. For example, if a character has maxsize="3", then it can grow to be no more than three times its normal (unstretched) size.

The symmetric attribute governs whether the height and depth above and below the axis of the character are forced to be equal (by forcing both height and depth to become the maximum of the two). An example of a situation where one might set symmetric="false" arises with parentheses around a matrix not aligned on the axis, which frequently occurs when multiplying non-square matrices. In this case, one wants the parentheses to stretch to cover the matrix, whereas stretching the parentheses symmetrically would cause them to protrude beyond one edge of the matrix. The symmetric attribute only applies to characters that stretch vertically (otherwise it is ignored).

If a stretchy mo element is embellished (as defined earlier in this section), the mo element at its core is stretched to a size based on the context of the embellished operator as a whole, i.e. to the same size as if the embellishments were not present. For example, the parentheses in the following example (which would typically be set to be stretchy by the operator dictionary) will be stretched to the same size as each other, and the same size they would have if they were not underlined and overlined, and furthermore will cover the same vertical interval:

<mrow>
  <munder>
    <mo> ( </mo>
    <mo> &#x5F;<!--LOW LINE--> </mo>
  </munder>
  <mfrac>
    <mi> a </mi>
    <mi> b </mi>
  </mfrac>
  <mover>
    <mo> ) </mo>
    <mo> &#x203E;<!--OVERLINE--> </mo>
  </mover>
</mrow>

Note that this means that the stretching rules given below must refer to the context of the embellished operator as a whole, not just to the mo element itself.

3.2.5.8.1 Example of stretchy attributes

This shows one way to set the maximum size of a parenthesis so that it does not grow, even though its default value is stretchy="true".

<mrow>
  <mo maxsize="1"> ( </mo>
  <mfrac>
    <mi> a </mi> <mi> b </mi>
  </mfrac>
  <mo maxsize="1"> ) </mo>
</mrow>

The above should render as (\frac{a}{b}) as opposed to the default rendering \left(\frac{a}{b}\right).

Note that each parenthesis is sized independently; if only one of them had maxsize="1", they would render with different sizes.

3.2.5.8.2 Vertical Stretching Rules

The general rules governing stretchy operators are:

  • If a stretchy operator is a direct sub-expression of an mrow element, or is the sole direct sub-expression of an mtd element in some row of a table, then it should stretch to cover the height and depth (above and below the axis) of the non-stretchy direct sub-expressions in the mrow element or table row, unless stretching is constrained by minsize or maxsize attributes.

  • In the case of an embellished stretchy operator, the preceding rule applies to the stretchy operator at its core.

  • The preceding rules also apply in situations where the mrow element is inferred.

  • The rules for symmetric stretching only apply if symmetric="true" and if the stretching occurs in an mrow or in an mtr whose rowalign value is either "baseline" or "axis".

The following algorithm specifies the height and depth of vertically stretched characters:

  1. Let maxheight and maxdepth be the maximum height and depth of the non-stretchy siblings within the same mrow or mtr. Let axis be the height of the math axis above the baseline.

    Note that even if a minsize or maxsize value is set on a stretchy operator, it is not used in the initial calculation of the maximum height and depth of an mrow.

  2. If symmetric="true", then the computed height and depth of the stretchy operator are:

       height=max(maxheight-axis, maxdepth+axis) + axis
       depth =max(maxheight-axis, maxdepth+axis) - axis
    

    Otherwise the height and depth are:

       height= maxheight
       depth = maxdepth
    
  3. If the total size = height+depth is less than minsize or greater than maxsize, increase or decrease both height and depth proportionately so that the effective size meets the constraint.

By default, most vertical arrows, along with most opening and closing fences are defined in the operator dictionary to stretch by default.

In the case of a stretchy operator in a table cell (i.e. within an mtd element), the above rules assume each cell of the table row containing the stretchy operator covers exactly one row. (Equivalently, the value of the rowspan attribute is assumed to be 1 for all the table cells in the table row, including the cell containing the operator.) When this is not the case, the operator should only be stretched vertically to cover those table cells that are entirely within the set of table rows that the operator's cell covers. Table cells that extend into rows not covered by the stretchy operator's table cell should be ignored. See Section 3.5.4.2 Attributes for details about the rowspan attribute.

3.2.5.8.3 Horizontal Stretching Rules
  • If a stretchy operator, or an embellished stretchy operator, is a direct sub-expression of an munder, mover, or munderover element, or if it is the sole direct sub-expression of an mtd element in some column of a table (see mtable), then it, or the mo element at its core, should stretch to cover the width of the other direct sub-expressions in the given element (or in the same table column), given the constraints mentioned above.

  • In the case of an embellished stretchy operator, the preceding rule applies to the stretchy operator at its core.

By default, most horizontal arrows and some accents stretch horizontally.

In the case of a stretchy operator in a table cell (i.e. within an mtd element), the above rules assume each cell of the table column containing the stretchy operator covers exactly one column. (Equivalently, the value of the columnspan attribute is assumed to be 1 for all the table cells in the table row, including the cell containing the operator.) When this is not the case, the operator should only be stretched horizontally to cover those table cells that are entirely within the set of table columns that the operator's cell covers. Table cells that extend into columns not covered by the stretchy operator's table cell should be ignored. See Section 3.5.4.2 Attributes for details about the rowspan attribute.

The rules for horizontal stretching include mtd elements to allow arrows to stretch for use in commutative diagrams laid out using mtable. The rules for the horizontal stretchiness include scripts to make examples such as the following work:

<mrow>
  <mi> x </mi>
  <munder>
    <mo> &#x2192;<!--RIGHTWARDS ARROW--> </mo>
    <mtext> maps to </mtext>
  </munder>
  <mi> y </mi>
</mrow>

This displays as x \widearrow{\mathrm{maps~to}} y.

3.2.5.8.4 Rules Common to both Vertical and Horizontal Stretching

If a stretchy operator is not required to stretch (i.e. if it is not in one of the locations mentioned above, or if there are no other expressions whose size it should stretch to match), then it has the standard (unstretched) size determined by the font and current mathsize.

If a stretchy operator is required to stretch, but all other expressions in the containing element (as described above) are also stretchy, all elements that can stretch should grow to the maximum of the normal unstretched sizes of all elements in the containing object, if they can grow that large. If the value of minsize or maxsize prevents this then that (min or max) size is used.

For example, in an mrow containing nothing but vertically stretchy operators, each of the operators should stretch to the maximum of all of their normal unstretched sizes, provided no other attributes are set that override this behavior. Of course, limitations in fonts or font rendering may result in the final, stretched sizes being only approximately the same.

3.2.5.9 Examples of Linebreaking

The following example demonstrates forced linebreaks and forced alignment:

 <mrow>
  <mrow>  <mi>f</mi> <mo>&#x2061;<!--FUNCTION APPLICATION--></mo> <mo>(</mo> <mi>x</mi> <mo>)</mo>  </mrow>

  <mo id='eq1-equals'>=</mo>
  <mrow>
   <msup>
    <mrow> <mo>(</mo> <mrow> <mi>x</mi> <mo>+</mo> <mn>1</mn> </mrow> <mo>)</mo> </mrow>
    <mn>4</mn>
   </msup>
   <mo linebreak='newline' linebreakstyle='before'
                     indentalign='id' indenttarget='eq1-equals'>=</mo>
   <mrow>
    <msup> <mi>x</mi> <mn>4</mn> </msup>
    <mo id='eq1-plus'>+</mo>
    <mrow>  <mn>4</mn> <mo>&#x2062;<!--INVISIBLE TIMES--></mo> <msup> <mi>x</mi> <mn>3</mn> </msup>  </mrow>
    <mo>+</mo>
    <mrow>  <mn>6</mn> <mo>&#x2062;<!--INVISIBLE TIMES--></mo> <msup> <mi>x</mi> <mn>2</mn> </msup>  </mrow>

    <mo linebreak='newline' linebreakstyle='before'
                      indentalignlast='id' indenttarget='eq1-plus'>+</mo>
    <mrow>  <mn>4</mn> <mo>&#x2062;<!--INVISIBLE TIMES--></mo> <mi>x</mi>  </mrow>
    <mo>+</mo>
    <mn>1</mn>
   </mrow>
  </mrow>
 </mrow>

This displays as

example with equal and plus signs aligned

Note that because indentalignlast defaults to "indentalign", in the above example indentalign could have been used in place of indentalignlast. Also, the specifying linebreakstyle='before' is not needed because that is the default value.

3.2.6 Text <mtext>

3.2.6.1 Description

An mtext element is used to represent arbitrary text that should be rendered as itself. In general, the mtext element is intended to denote commentary text.

Note that some text with a clearly defined notational role might be more appropriately marked up using mi or mo; this is discussed further below.

An mtext element can be used to contain "renderable whitespace", i.e. invisible characters that are intended to alter the positioning of surrounding elements. In non-graphical media, such characters are intended to have an analogous effect, such as introducing positive or negative time delays or affecting rhythm in an audio renderer. This is not related to any whitespace in the source MathML consisting of blanks, newlines, tabs, or carriage returns; whitespace present directly in the source is trimmed and collapsed, as described in Section 2.1.7 Collapsing Whitespace in Input. Whitespace that is intended to be rendered as part of an element's content must be represented by entity references or mspace elements (unless it consists only of single blanks between non-whitespace characters).

3.2.6.2 Attributes

mtext elements accept the attributes listed in Section 3.2.2 Mathematics style attributes common to token elements.

See also the warnings about the legal grouping of "space-like elements" in Section 3.2.7 Space <mspace/>, and about the use of such elements for "tweaking" in Section 3.1.8 Warning about fine-tuning of presentation.

3.2.6.3 Examples

<mtext> Theorem 1: </mtext>
<mtext> &#x2009;<!--THIN SPACE--> </mtext>
<mtext> &#x205F;&#x200A;<!--space of width 5/18 em-->&#x205F;&#x200A;<!--space of width 5/18 em--> </mtext>
<mtext> /* a comment */ </mtext>

3.2.6.4 Mixing text and mathematics

In some cases, text embedded in mathematics could be more appropriately represented using mo or mi elements. For example, the expression 'there exists \delta>0 such that f(x) <1' is equivalent to \exists \delta>0 \backepsilon f(x)<1 and could be represented as:

<mrow>
  <mo> there exists </mo>
  <mrow>
    <mrow>
      <mi> &#x3B4;<!--GREEK SMALL LETTER DELTA--> </mi>
      <mo> &gt; </mo>
      <mn> 0 </mn>
    </mrow>
    <mo> such that </mo>
    <mrow>
      <mrow>
        <mi> f </mi>
        <mo> &#x2061;<!--FUNCTION APPLICATION--> </mo>
        <mrow>
          <mo> ( </mo>
          <mi> x </mi>
          <mo> ) </mo>
        </mrow>
      </mrow>
      <mo> &lt; </mo>
      <mn> 1 </mn>
    </mrow>
  </mrow>
</mrow>

An example involving an mi element is: x+x2+···+xn. In this example, ellipsis should be represented using an mi element, since it takes the place of a term in the sum; (see Section 3.2.3 Identifier <mi>).

On the other hand, expository text within MathML is best represented with an mtext element. An example of this is:

Theorem 1: if x > 1, then x2 > x.

However, when MathML is embedded in HTML, or another document markup language, the example is probably best rendered with only the two inequalities represented as MathML at all, letting the text be part of the surrounding HTML.

Another factor to consider in deciding how to mark up text is the effect on rendering. Text enclosed in an mo element is unlikely to be found in a renderer's operator dictionary, so it will be rendered with the format and spacing appropriate for an "unrecognized operator", which may or may not be better than the format and spacing for "text" obtained by using an mtext element. An ellipsis entity in an mi element is apt to be spaced more appropriately for taking the place of a term within a series than if it appeared in an mtext element.

3.2.7 Space <mspace/>

3.2.7.1 Description

An mspace empty element represents a blank space of any desired size, as set by its attributes. It can also be used to make linebreaking suggestions to a visual renderer. Note that the default values for attributes have been chosen so that they typically will have no effect on rendering. Thus, the mspace element is generally used with one or more attribute values explicitly specified.

Note the warning about the legal grouping of "space-like elements" given below, and the warning about the use of such elements for "tweaking" in Section 3.1.8 Warning about fine-tuning of presentation. See also the other elements that can render as whitespace, namely mtext, mphantom, and maligngroup.

3.2.7.2 Attributes

In addition to the attributes listed below, mspace elements accept the attributes described in Section 3.2.2 Mathematics style attributes common to token elements, but note that mathvariant and mathcolor have no effect. mathsize only affects the interpretation of units in sizing attributes (see Section 2.1.5.2 Length Valued Attributes).

Name values default
width length 0em
Specifies the desired width of the space.
height length 0ex
Specifies the desired height (above the baseline) of the space.
depth length 0ex
Specifies the desired depth (below the baseline) of the space.
linebreak "auto" | "newline" | "nobreak" | "goodbreak" | "badbreak" auto
Specifies the desirability of a linebreak at this space.

Linebreaking was originally specified on mspace in MathML2, but controlling linebreaking on mo is to be preferred. The value "indentingnewline" was defined in MathML2 for mspace; it is now deprecated. Its meaning is the same as newline, which is compatible with its earlier use when no other linebreaking attributes are specified. Note that linebreak values on adjacent mo and mspace elements do not interact; a "nobreak" on an mspace will not, in itself, inhibit a break on an adjacent mo element.

3.2.7.3 Examples

<mspace height="3ex" depth="2ex"/>

<mrow>
  <mi>a</mi>
  <mo>+</mo>
  <mi>b</mi>
  <mspace linebreak="newline"/>
  <mo>+</mo>
  <mi>c</mi>
</mrow>

In the last example, mspace will cause the line to end after the "b" and the following line to be indented so that the "+" that follows will align with the "+" with id="firstop".

3.2.7.4 Definition of space-like elements

A number of MathML presentation elements are "space-like" in the sense that they typically render as whitespace, and do not affect the mathematical meaning of the expressions in which they appear. As a consequence, these elements often function in somewhat exceptional ways in other MathML expressions. For example, space-like elements are handled specially in the suggested rendering rules for mo given in Section 3.2.5 Operator, Fence, Separator or Accent <mo>. The following MathML elements are defined to be "space-like":

  • an mtext, mspace, maligngroup, or malignmark element;

  • an mstyle, mphantom, or mpadded element, all of whose direct sub-expressions are space-like;

  • an maction element whose selected sub-expression exists and is space-like;

  • an mrow all of whose direct sub-expressions are space-like.

Note that an mphantom is not automatically defined to be space-like, unless its content is space-like. This is because operator spacing is affected by whether adjacent elements are space-like. Since the mphantom element is primarily intended as an aid in aligning expressions, operators adjacent to an mphantom should behave as if they were adjacent to the contents of the mphantom, rather than to an equivalently sized area of whitespace.

3.2.7.5 Legal grouping of space-like elements

Authors who insert space-like elements or mphantom elements into an existing MathML expression should note that such elements are counted as arguments, in elements that require a specific number of arguments, or that interpret different argument positions differently.

Therefore, space-like elements inserted into such a MathML element should be grouped with a neighboring argument of that element by introducing an mrow for that purpose. For example, to allow for vertical alignment on the right edge of the base of a superscript, the expression

<msup>
  <mi> x </mi>
  <malignmark edge="right"/>
  <mn> 2 </mn>
</msup>

is illegal, because msup must have exactly 2 arguments; the correct expression would be:

<msup>
  <mrow>
    <mi> x </mi>
    <malignmark edge="right"/>
  </mrow>
  <mn> 2 </mn>
</msup>

See also the warning about "tweaking" in Section 3.1.8 Warning about fine-tuning of presentation.

3.2.8 String Literal <ms>

3.2.8.1 Description

The ms element is used to represent "string literals" in expressions meant to be interpreted by computer algebra systems or other systems containing "programming languages". By default, string literals are displayed surrounded by double quotes, with no extra spacing added around the string. As explained in Section 3.2.6 Text <mtext>, ordinary text embedded in a mathematical expression should be marked up with mtext, or in some cases mo or mi, but never with ms.

Note that the string literals encoded by ms are made up of characters, mglyphs and malignmarks rather than "ASCII strings". For example, <ms>&amp;</ms> represents a string literal containing a single character, &, and <ms>&amp;amp;</ms> represents a string literal containing 5 characters, the first one of which is &.

The content of ms elements should be rendered with visible "escaping" of certain characters in the content, including at least the left and right quoting characters, and preferably whitespace other than individual space characters. The intent is for the viewer to see that the expression is a string literal, and to see exactly which characters form its content. For example, <ms>double quote is "</ms> might be rendered as "double quote is \"".

Like all token elements, ms does trim and collapse whitespace in its content according to the rules of Section 2.1.7 Collapsing Whitespace in Input, so whitespace intended to remain in the content should be encoded as described in that section.

3.2.8.2 Attributes

ms elements accept the attributes listed in Section 3.2.2 Mathematics style attributes common to token elements, and additionally:

Name values default
lquote string &quot;
Specifies the opening quote to enclose the content. (not necessarily ‘left quote’ in RTL context).
rquote string &quot;
Specifies the closing quote to enclose the content. (not necessarily ‘right quote’ in RTL context).

3.3 General Layout Schemata

Besides tokens there are several families of MathML presentation elements. One family of elements deals with various "scripting" notations, such as subscript and superscript. Another family is concerned with matrices and tables. The remainder of the elements, discussed in this section, describe other basic notations such as fractions and radicals, or deal with general functions such as setting style properties and error handling.

3.3.1 Horizontally Group Sub-Expressions <mrow>

3.3.1.1 Description

An mrow element is used to group together any number of sub-expressions, usually consisting of one or more mo elements acting as "operators" on one or more other expressions that are their "operands".

Several elements automatically treat their arguments as if they were contained in an mrow element. See the discussion of inferred mrows in Section 3.1.3 Required Arguments. See also mfenced (Section 3.3.8 Expression Inside Pair of Fences <mfenced>), which can effectively form an mrow containing its arguments separated by commas.

mrow elements are typically rendered visually as a horizontal row of their arguments, left to right in the order in which the arguments occur, in a context with LTR directionality, or right to left. The dir attribute can be used to specify the directionality for a specific mrow, otherwise it inherits the directionality from the context. For aural agents, the arguments would be rendered audibly as a sequence of renderings of the arguments. The description in Section 3.2.5 Operator, Fence, Separator or Accent <mo> of suggested rendering rules for mo elements assumes that all horizontal spacing between operators and their operands is added by the rendering of mo elements (or, more generally, embellished operators), not by the rendering of the mrows they are contained in.

MathML provides support for both automatic and manual linebreaking of expressions (that is, to break excessively long expressions into several lines). All such linebreaks take place within mrows, whether they are explicitly marked up in the document, or inferred (See Section 3.1.3.1 Inferred <mrow>s), although the control of linebreaking is effected through attributes on other elements (See Section 3.1.7 Linebreaking of Expressions).

3.3.1.2 Attributes

mrow elements accept the attribute listed below in addition to those listed in Section 3.1.10 Mathematics style attributes common to presentation elements.

Name values default
dir "ltr" | "rtl" inherited
specifies the overall directionality ltr (Left To Right) or rtl (Right To Left) to use to layout the children of the row. See Section 3.1.5.1 Overall Directionality of Mathematics Formulas for further discussion.

3.3.1.3 Proper grouping of sub-expressions using <mrow>

Sub-expressions should be grouped by the document author in the same way as they are grouped in the mathematical interpretation of the expression; that is, according to the underlying "syntax tree" of the expression. Specifically, operators and their mathematical arguments should occur in a single mrow; more than one operator should occur directly in one mrow only when they can be considered (in a syntactic sense) to act together on the interleaved arguments, e.g. for a single parenthesized term and its parentheses, for chains of relational operators, or for sequences of terms separated by + and -. A precise rule is given below.

Proper grouping has several purposes: it improves display by possibly affecting spacing; it allows for more intelligent linebreaking and indentation; and it simplifies possible semantic interpretation of presentation elements by computer algebra systems, and audio renderers.

Although improper grouping will sometimes result in suboptimal renderings, and will often make interpretation other than pure visual rendering difficult or impossible, any grouping of expressions using mrow is allowed in MathML syntax; that is, renderers should not assume the rules for proper grouping will be followed.

3.3.1.3.1 <mrow> of one argument

MathML renderers are required to treat an mrow element containing exactly one argument as equivalent in all ways to the single argument occurring alone, provided there are no attributes on the mrow element's start tag. If there are attributes on the mrow element's start tag, no requirement of equivalence is imposed. This equivalence condition is intended to simplify the implementation of MathML-generating software such as template-based authoring tools. It directly affects the definitions of embellished operator and space-like element and the rules for determining the default value of the form attribute of an mo element; see Section 3.2.5 Operator, Fence, Separator or Accent <mo> and Section 3.2.7 Space <mspace/>. See also the discussion of equivalence of MathML expressions in Section 2.3 Conformance.

3.3.1.3.2 Precise rule for proper grouping

A precise rule for when and how to nest sub-expressions using mrow is especially desirable when generating MathML automatically by conversion from other formats for displayed mathematics, such as TEX, which don't always specify how sub-expressions nest. When a precise rule for grouping is desired, the following rule should be used:

Two adjacent operators (i.e. mo elements, possibly embellished), possibly separated by operands (i.e. anything other than operators), should occur in the same mrow only when the leading operator has an infix or prefix form (perhaps inferred), the following operator has an infix or postfix form, and the operators have the same priority in the operator dictionary (Appendix C Operator Dictionary). In all other cases, nested mrows should be used.

When forming a nested mrow (during generation of MathML) that includes just one of two successive operators with the forms mentioned above (which mean that either operator could in principle act on the intervening operand or operands), it is necessary to decide which operator acts on those operands directly (or would do so, if they were present). Ideally, this should be determined from the original expression; for example, in conversion from an operator-precedence-based format, it would be the operator with the higher precedence.

Note that the above rule has no effect on whether any MathML expression is valid, only on the recommended way of generating MathML from other formats for displayed mathematics or directly from written notation.

(Some of the terminology used in stating the above rule in defined in Section 3.2.5 Operator, Fence, Separator or Accent <mo>.)

3.3.1.4 Examples

As an example, 2x+y-z should be written as:

<mrow>
  <mrow>
    <mn> 2 </mn>
    <mo> &#x2062;<!--INVISIBLE TIMES--> </mo>
    <mi> x </mi>
  </mrow>
  <mo> + </mo>
  <mi> y </mi>
  <mo> - </mo>
  <mi> z </mi>
</mrow>

The proper encoding of (x, y) furnishes a less obvious example of nesting mrows:

<mrow>
  <mo> ( </mo>
  <mrow>
    <mi> x </mi>
    <mo> , </mo>
    <mi> y </mi>
  </mrow>
  <mo> ) </mo>
</mrow>

In this case, a nested mrow is required inside the parentheses, since parentheses and commas, thought of as fence and separator "operators", do not act together on their arguments.

3.3.2 Fractions <mfrac>

3.3.2.1 Description

The mfrac element is used for fractions. It can also be used to mark up fraction-like objects such as binomial coefficients and Legendre symbols. The syntax for mfrac is

<mfrac> numerator denominator </mfrac>

The mfrac element sets displaystyle to "false", or if it was already false increments scriptlevel by 1, within numerator and denominator. (See Section 3.1.6 Displaystyle and Scriptlevel.)

3.3.2.2 Attributes

mfrac elements accept the attributes listed below in addition to those listed in Section 3.1.10 Mathematics style attributes common to presentation elements. The fraction line, if any, should be drawn using the color specified by mathcolor.

Name values default
linethickness length | "thin" | "medium" | "thick" medium
Specifies the thickness of the horizontal "fraction bar", or "rule" The default value is "medium", "thin" is thinner, but visible, "thick" is thicker; the exact thickness of these is left up to the rendering agent.
numalign "left" | "center" | "right" center
Specifies the alignment of the numerator over the fraction.
denomalign "left" | "center" | "right" center
Specifies the alignment of the denominator under the fraction.
bevelled "true" | "false" false
Specifies whether the fraction should be displayed in a beveled style (the numerator slightly raised, the denominator slightly lowered and both separated by a slash), rather than "build up" vertically. See below for an example.

Thicker lines (e.g. linethickness="thick") might be used with nested fractions; a value of "0" renders without the bar such as for binomial coefficients. These cases are shown below:

\binom{a}{b} \quad \genfrac{}{}{1pt}{}{\frac{a}{b}}{\frac{c}{d}}

An example illustrating the bevelled form is shown below:

\frac{1}{x^3 + \frac{x}{3}} = \raisebox{1ex}{$1$}\!        \left/ \!\raisebox{-1ex}{$x^3+\frac{x}{3}$} \right.

In a RTL directionality context, the numerator leads (on the right), the denominator follows (on the left) and the diagonal line slants upwards going from right to left. Although this format is an established convention, it is not universally followed; for situations where a forward slash is desired in a RTL context, alternative markup, such as an mo within an mrow should be used.

3.3.2.3 Examples

The examples shown above can be represented in MathML as:

<mrow>
   <mo> ( </mo>
   <mfrac linethickness="0">
      <mi> a </mi>
      <mi> b </mi>
   </mfrac>
   <mo> ) </mo>
</mrow>
<mfrac linethickness="2">
   <mfrac>
      <mi> a </mi>
      <mi> b </mi>
   </mfrac>
   <mfrac>
      <mi> c </mi>
      <mi> d </mi>
   </mfrac>
</mfrac>
<mfrac>
   <mn> 1 </mn>
   <mrow>
      <msup>
         <mi> x </mi>
         <mn> 3 </mn>
       </msup>
       <mo> + </mo>
       <mfrac>
         <mi> x </mi>
         <mn> 3 </mn>
       </mfrac>
   </mrow>
</mfrac>
<mo> = </mo>
<mfrac bevelled="true">
   <mn> 1 </mn>
   <mrow>
      <msup>
         <mi> x </mi>
         <mn> 3 </mn>
       </msup>
       <mo> + </mo>
       <mfrac>
         <mi> x </mi>
         <mn> 3 </mn>
       </mfrac>
   </mrow>
</mfrac>

A more generic example is:

<mfrac>
   <mrow>
      <mn> 1 </mn>
      <mo> + </mo>
      <msqrt>
         <mn> 5 </mn>
      </msqrt>
   </mrow>
   <mn> 2 </mn>
</mfrac>

3.3.3 Radicals <msqrt>, <mroot>

3.3.3.1 Description

These elements construct radicals. The msqrt element is used for square roots, while the mroot element is used to draw radicals with indices, e.g. a cube root. The syntax for these elements is:

<msqrt> base </msqrt>
<mroot> base index </mroot>

The mroot element requires exactly 2 arguments. However, msqrt accepts a single argument, possibly being an inferred mrow of multiple children; see Section 3.1.3 Required Arguments. The mroot element increments scriptlevel by 2, and sets displaystyle to "false", within index, but leaves both attributes unchanged within base. The msqrt element leaves both attributes unchanged within its argument. (See Section 3.1.6 Displaystyle and Scriptlevel.)

Note that in a RTL directionality, the surd begins on the right, rather than the left, along with the index in the case of mroot.

3.3.3.2 Attributes

msqrt and mroot elements accept the attributes listed in Section 3.1.10 Mathematics style attributes common to presentation elements. The surd and overbar should be drawn using the color specified by mathcolor.

3.3.4 Style Change <mstyle>

3.3.4.1 Description

The mstyle element is used to make style changes that affect the rendering of its contents. It can be given any attribute accepted by any other presentation element, except for the attributes described below. In addition, the mstyle element can be given certain special attributes listed in the next subsection.

The mstyle element accepts a single argument, possibly being an inferred mrow of multiple children; see Section 3.1.3 Required Arguments.

Loosely speaking, the effect of the mstyle element is to change the default value of an attribute for the elements it contains. Style changes work in one of several ways, depending on the way in which default values are specified for an attribute. The cases are:

  • Some attributes, such as displaystyle or scriptlevel (explained below), are inherited from the surrounding context when they are not explicitly set. Specifying such an attribute on an mstyle element sets the value that will be inherited by its child elements. Unless a child element overrides this inherited value, it will pass it on to its children, and they will pass it to their children, and so on. But if a child element does override it, either by an explicit attribute setting or automatically (as is common for scriptlevel), the new (overriding) value will be passed on to that element's children, and then to their children, etc, unless it is again overridden.

  • Other attributes, such as linethickness on mfrac, have default values that are not normally inherited. That is, if the linethickness attribute is not set on the start tag of an mfrac element, it will normally use the default value of "1", even if it was contained in a larger mfrac element that set this attribute to a different value. For attributes like this, specifying a value with an mstyle element has the effect of changing the default value for all elements within its scope. The net effect is that setting the attribute value with mstyle propagates the change to all the elements it contains directly or indirectly, except for the individual elements on which the value is overridden. Unlike in the case of inherited attributes, elements that explicitly override this attribute have no effect on this attribute's value in their children.

  • Another group of attributes, such as stretchy and form, are computed from operator dictionary information, position in the enclosing mrow, and other similar data. For these attributes, a value specified by an enclosing mstyle overrides the value that would normally be computed.

Note that attribute values inherited from an mstyle in any manner affect a given element in the mstyle's content only if that attribute is not given a value in that element's start tag. On any element for which the attribute is set explicitly, the value specified on the start tag overrides the inherited value. The only exception to this rule is when the value given on the start tag is documented as specifying an incremental change to the value inherited from that element's context or rendering environment.

Note also that the difference between inherited and non-inherited attributes set by mstyle, explained above, only matters when the attribute is set on some element within the mstyle's contents that has children also setting it. Thus it never matters for attributes, such as mathcolor, which can only be set on token elements (or on mstyle itself).

MathML specifies that when the attributes height, depth or width are specified on an mstyle element, they apply only to mspace elements, and not to the corresponding attributes of mglyph, mpadded, or mtable. Similarly, when rowalign, columnalign, or groupalign are specified on an mstyle element, they apply only to the mtable element, and not the mtr, mlabeledtr, mtd, and maligngroup elements. When the lspace attribute is set with mstyle, it applies only to the mo element and not to mpadded. To be consistent, the voffset attribute of the mpadded element can not be set on mstyle. When the deprecated fontfamily attribute is specified on an mstyle element, it does not apply to the mglyph element. The deprecated index attribute cannot be set on mstyle. When the align attribute is set with mstyle, it applies only to the munder, mover, and munderover elements, and not to the mtable and mstack elements. The required attributes src and alt on mglyph, and actiontype on maction, cannot be set on mstyle.

3.3.4.2 Attributes

As stated above, mstyle accepts all attributes of all MathML presentation elements which do not have required values. That is, all attributes which have an explicit default value or a default value which is inherited or computed are accepted by the mstyle element.

mstyle elements accept the attributes listed in Section 3.1.10 Mathematics style attributes common to presentation elements.

Additionally, mstyle can be given the following special attributes that are implicitly inherited by every MathML element as part of its rendering environment:

Name values default
scriptlevel ( "+" | "-" )? unsigned-integer inherited
Changes the scriptlevel in effect for the children. When the value is given without a sign, it sets scriptlevel to the specified value; when a sign is given, it increments ("+") or decrements ("-") the current value. (Note that large decrements can result in negative values of scriptlevel, but these values are considered legal.) See Section 3.1.6 Displaystyle and Scriptlevel.
displaystyle "true" | "false" inherited
Changes the displaystyle in effect for the children. See Section 3.1.6 Displaystyle and Scriptlevel.
scriptsizemultiplier number 0.71
Specifies the multiplier to be used to adjust font size due to changes in scriptlevel. See Section 3.1.6 Displaystyle and Scriptlevel.
scriptminsize length 8pt
Specifies the minimum font size allowed due to changes in scriptlevel. Note that this does not limit the font size due to changes to mathsize. See Section 3.1.6 Displaystyle and Scriptlevel.
infixlinebreakstyle "before" | "after" | "duplicate" before
Specifies the default linebreakstyle to use for infix operators; see Section 3.2.5.2.2 Linebreaking attributes
decimalpoint character .
specifies the character used to determine the alignment point within mstack and mtable columns when the "decimalpoint" value is used to specify the alignment. The default, ".", is the decimal separator used to separate the integral and decimal fractional parts of floating point numbers in many countries. (See Section 3.6 Elementary Math and Section 3.5.5 Alignment Markers <maligngroup/>, <malignmark/>).

If scriptlevel is changed incrementally by an mstyle element that also sets certain other attributes, the overall effect of the changes may depend on the order in which they are processed. In such cases, the attributes in the following list should be processed in the following order, regardless of the order in which they occur in the XML-format attribute list of the mstyle start tag: scriptsizemultiplier, scriptminsize, scriptlevel, mathsize.

3.3.4.2.1 Deprecated Attributes

MathML2 allowed the binding of namedspaces to new values. It appears that this capability was never implemented, and is now deprecated; namedspaces are now considered constants. For backwards compatibility, the following attributes are accepted on the mstyle element, but are expected to have no effect.

Name values default
veryverythinmathspace length 0.0555556em
verythinmathspace length 0.111111em
thinmathspace length 0.166667em
mediummathspace length 0.222222em
thickmathspace length 0.277778em
verythickmathspace length 0.333333em
veryverythickmathspace length 0.388889em

3.3.4.3 Examples

The example of limiting the stretchiness of a parenthesis shown in the section on <mo>,

<mrow>
   <mo maxsize="1"> ( </mo>
   <mfrac> <mi> a </mi> <mi> b </mi> </mfrac>
   <mo maxsize="1"> ) </mo>
</mrow>

can be rewritten using mstyle as:

<mstyle maxsize="1">
   <mrow>
      <mo> ( </mo>
      <mfrac> <mi> a </mi> <mi> b </mi> </mfrac>
      <mo> ) </mo>
   </mrow>
</mstyle>

3.3.5 Error Message <merror>

3.3.5.1 Description

The merror element displays its contents as an "error message". This might be done, for example, by displaying the contents in red, flashing the contents, or changing the background color. The contents can be any expression or expression sequence.

merror accepts a single argument possibly being an inferred mrow of multiple children; see Section 3.1.3 Required Arguments.

The intent of this element is to provide a standard way for programs that generate MathML from other input to report syntax errors in their input. Since it is anticipated that preprocessors that parse input syntaxes designed for easy hand entry will be developed to generate MathML, it is important that they have the ability to indicate that a syntax error occurred at a certain point. See Section 2.3.2 Handling of Errors.

The suggested use of merror for reporting syntax errors is for a preprocessor to replace the erroneous part of its input with an merror element containing a description of the error, while processing the surrounding expressions normally as far as possible. By this means, the error message will be rendered where the erroneous input would have appeared, had it been correct; this makes it easier for an author to determine from the rendered output what portion of the input was in error.

No specific error message format is suggested here, but as with error messages from any program, the format should be designed to make as clear as possible (to a human viewer of the rendered error message) what was wrong with the input and how it can be fixed. If the erroneous input contains correctly formatted subsections, it may be useful for these to be preprocessed normally and included in the error message (within the contents of the merror element), taking advantage of the ability of merror to contain arbitrary MathML expressions rather than only text.

3.3.5.2 Attributes

merror elements accept the attributes listed in Section 3.1.10 Mathematics style attributes common to presentation elements.

3.3.5.3 Example

If a MathML syntax-checking preprocessor received the input

<mfraction>
   <mrow> <mn> 1 </mn> <mo> + </mo> <msqrt> <mn> 5 </mn> </msqrt> </mrow>
   <mn> 2 </mn>
</mfraction>

which contains the non-MathML element mfraction (presumably in place of the MathML element mfrac), it might generate the error message

<merror>
   <mtext> Unrecognized element: mfraction;
           arguments were:  </mtext>
   <mrow> <mn> 1 </mn> <mo> + </mo> <msqrt> <mn> 5 </mn> </msqrt> </mrow>
   <mtext>  and  </mtext>
   <mn> 2 </mn>
</merror>

Note that the preprocessor's input is not, in this case, valid MathML, but the error message it outputs is valid MathML.

3.3.6 Adjust Space Around Content <mpadded>

3.3.6.1 Description

An mpadded element renders the same as its child content, but with the size of its bounding box and the relative positioning point of its child content modified according to its attributes. It does not rescale (stretch or shrink) its content. The name of the element reflects the typical use of mpadded to add padding, or extra space, around its content. However, mpadded can be used to make more general adjustments size and positioning, and some combinations, e.g. negative padding, can cause the content of mpadded to overlap the rendering of neighboring content. See Section 3.1.8 Warning about fine-tuning of presentation for warnings about several potential pitfalls of this effect.

The mpadded element accepts a single argument which may be an inferred mrow of multiple children; see Section 3.1.3 Required Arguments.

It is suggested that audio renderers add (or shorten) time delays based on the attributes representing horizontal space (width and lspace).

3.3.6.2 Attributes

mpadded elements accept the attributes listed below in addition to those specified in Section 3.1.10 Mathematics style attributes common to presentation elements.

Name values default
height ( "+" | "-" )? unsigned-number ( ("%" pseudo-unit?) | pseudo-unit | unit | namedspace ) same as content
Sets or increments the height of the mpadded element. See below for discussion.
depth ( "+" | "-" )? unsigned-number (("%" pseudo-unit?) | pseudo-unit | unit | namedspace ) same as content
Sets or increments the depth of the mpadded element. See below for discussion.
width ( "+" | "-" )? unsigned-number ( ("%" pseudo-unit?) | pseudo-unit | unit | namedspace ) same as content
Sets or increments the width of the mpadded element. See below for discussion.
lspace ( "+" | "-" )? unsigned-number ( ("%" pseudo-unit?) | pseudo-unit | unit | namedspace ) 0
Sets the horizontal position of the child content. See below for discussion.
voffset ( "+" | "-" )? unsigned-number ( ("%" pseudo-unit?) | pseudo-unit | unit | namedspace ) 0
Sets the vertical position of the child content. See below for discussion.

(The pseudo-unit syntax symbol is described below.)

These attributes specify the size of the bounding box of the mpadded element relative to the size of the bounding box of its child content, and specify the position of the child content of the mpadded element relative to the natural positioning of the mpadded element. The typographical layout parameters determined by these attributes are described in the next subsection. Depending on the form of the attribute value, a dimension may be set to a new value, or specified relative to the child content's corresponding dimension. Values may be given as multiples or percentages of any of the dimensions of the normal rendering of the child content using so-called pseudo-units, or they can be set directly using standard units Section 2.1.5.2 Length Valued Attributes.

If the value of a size attribute begins with a + or - sign, it specifies an increment or decrement to the corresponding dimension by the following length value. Otherwise the corresponding dimension is set directly to the following length value. Note that since a leading minus sign indicates a decrement, the size attributes (height, depth, width) cannot be set directly to negative values. In addition, specifying a decrement that would produce a net negative value for these attributes has the same effect as setting the attribute to zero. In other words, the effective bounding box of an mpadded element always has non-negative dimensions. However, negative values are allowed for the relative positioning attributes lspace and voffset.

Length values (excluding any sign) can be specified in several formats. Each format begins with an unsigned-number, which may be followed by a % sign (effectively scaling the number) and an optional pseudo-unit, by a pseudo-unit alone, or by a unit (excepting %). The possible pseudo-units are the keywords height, depth, and width. They represent the length of the same-named dimension of the mpadded element's child content.

For any of these length formats, the resulting length is the product of the number (possibly including the %) and the following pseudo-unit, unit, namedspace or the default value for the attribute if no such unit or space is given.

Some examples of attribute formats using pseudo-units (explicit or default) are as follows: depth="100%height" and depth="1.0height" both set the depth of the mpadded element to the height of its content. depth="105%" sets the depth to 1.05 times the content's depth, and either depth="+100%" or depth="200%" sets the depth to twice the content's depth.

The rules given above imply that all of the following attribute settings have the same effect, which is to leave the content's dimensions unchanged:

<mpadded width="+0em"> ... </mpadded>
<mpadded width="+0%"> ... </mpadded>
<mpadded width="-0em"> ... </mpadded>
<mpadded width="-0height"> ... </mpadded>
<mpadded width="100%"> ... </mpadded>
<mpadded width="100%width"> ... </mpadded>
<mpadded width="1width"> ... </mpadded>
<mpadded width="1.0width"> ... </mpadded>
<mpadded> ... </mpadded>

Note that the examples in the Version 2 of the MathML specification showed spaces within the attribute values, suggesting that this was the intended format. Formally, spaces are not allowed within these values, but implementers may wish to ignore such spaces to maximize backward compatibility.

3.3.6.3 Meanings of size and position attributes

See Appendix D Glossary for definitions of some of the typesetting terms used here.

The content of an mpadded element defines a fragment of mathematical notation, such as a character, fraction, or expression, that can be regarded as a single typographical element with a natural positioning point relative to its natural bounding box.

The size of the bounding box of an mpadded element is defined as the size of the bounding box of its content, except as modified by its height, depth, and width attributes. The natural positioning point of the child content of the mpadded element is located to coincide with the natural positioning point of the mpadded element, except as modified by the lspace and voffset attributes. Thus, the size attributes of mpadded can be used to expand or shrink the apparent bounding box of its content, and the position attributes of mpadded can be used to move the content relative to the bounding box (and hence also neighboring elements). Note that MathML doesn't define the precise relationship between "ink", bounding boxes and positioning points, which are implementation specific. Thus, absolute values for mpadded attributes may not be portable between implementations.

The height attribute specifies the vertical extent of the bounding box of the mpadded element above its baseline. Increasing the height increases the space between the baseline of the mpadded element and the content above it, and introduces padding above the rendering of the child content. Decreasing the height reduces the space between the baseline of the mpadded element and the content above it, and removes space above the rendering of the child content. Decreasing the height may cause content above the mpadded element to overlap the rendering of the child content, and should generally be avoided.

The depth attribute specifies the vertical extent of the bounding box of the mpadded element below its baseline. Increasing the depth increases the space between the baseline of the mpadded element and the content below it, and introduces padding below the rendering of the child content. Decreasing the depth reduces the space between the baseline of the mpadded element and the content below it, and removes space below the rendering of the child content. Decreasing the depth may cause content below the mpadded element to overlap the rendering of the child content, and should generally be avoided.

The width attribute specifies the horizontal distance between the positioning point of the mpadded element and the positioning of point of the following content. Increasing the width increases the space between the positioning point of the mpadded element and the content that follows it, and introduces padding after the rendering of the child content. Decreasing the width reduces the space between the positioning point of the mpadded element and the content that follows it, and removes space after the rendering of the child content. Setting the width to zero causes following content to be positioned at the positioning point of the mpadded element. Decreasing the width should generally be avoided, as it may cause overprinting of the following content.

The lspace attribute specifies the horizontal location of the positioning point of the child content with respect to the positioning point of the mpadded element. By default they coincide, and therefore absolute values for lspace have the same effect as relative values. Positive values for the lspace attribute increase the space between the preceding content and the child content, and introduce padding before the rendering of the child content. Negative values for the lspace attributes reduce the space between the preceding content and the child content, and may cause overprinting of the preceding content, and should generally be avoided. Note that the lspace attribute does not affect the width of the mpadded element, and so the lspace attribute will also affect the space between the child content and following content, and may cause overprinting of the following content, unless the width is adjusted accordingly.

The voffset attribute specifies the vertical location of the positioning point of the child content with respect to the positioning point of the mpadded element. Positive values for the voffset attribute raise the rendering of the child content above the baseline. Negative values for the voffset attribute lower the rendering of the child content below the baseline. In either case, the voffset attribute may cause overprinting of neighboring content, which should generally be avoided. Note that the voffset attribute does not affect the height or depth of the mpadded element, and so the voffset attribute will also affect the space between the child content and neighboring content, and may cause overprinting of the neighboring content, unless the height or depth is adjusted accordingly.

MathML renderers should ensure that, except for the effects of the attributes, the relative spacing between the contents of the mpadded element and surrounding MathML elements would not be modified by replacing an mpadded element with an mrow element with the same content, even if linebreaking occurs within the mpadded element. MathML does not define how non-default attribute values of an mpadded element interact with the linebreaking algorithm.

The effects of the size and position attributes are illustrated below. The following diagram illustrates the use of lspace and voffset to shift the position of child content without modifying the mpadded bounding box.

illustration of the use of mpadded to shift the position of child content without modifying the bounding box

The corresponding MathML is:

<mrow>
  <mi>x</mi>
  <mpadded lspace="0.2em" voffset="0.3ex">
    <mi>y</mi>
  </mpadded>
  <mi>z</mi>
</mrow>

The next diagram illustrates the use of width, height and depth to modifying the mpadded bounding box without changing the relative position of the child content.

illustration of the use of mpadded to modifying its bounding box without shifting the relative location of its child content

The corresponding MathML is:

<mrow>
  <mi>x</mi>
  <mpadded width="+90%width" height="+0.3ex" depth="+0.3ex">
    <mi>y</mi>
  </mpadded>
  <mi>z</mi>
</mrow>

The final diagram illustrates the generic use of mpadded to modify both the bounding box and relative position of child content.

illustration of the use of mpadded to modify both the bounding box size and position of child content

The corresponding MathML is:

<mrow>
  <mi>x</mi>
  <mpadded lspace="0.3em" width="+0.6em">
    <mi>y</mi>
  </mpadded>
  <mi>z</mi>
</mrow>

3.3.7 Making Sub-Expressions Invisible <mphantom>

3.3.7.1 Description

The mphantom element renders invisibly, but with the same size and other dimensions, including baseline position, that its contents would have if they were rendered normally. mphantom can be used to align parts of an expression by invisibly duplicating sub-expressions.

The mphantom element accepts a single argument possibly being an inferred mrow of multiple children; see Section 3.1.3 Required Arguments.

Note that it is possible to wrap both an mphantom and an mpadded element around one MathML expression, as in <mphantom><mpadded attribute-settings> ... </mpadded></mphantom>, to change its size and make it invisible at the same time.

MathML renderers should ensure that the relative spacing between the contents of an mphantom element and the surrounding MathML elements is the same as it would be if the mphantom element were replaced by an mrow element with the same content. This holds even if linebreaking occurs within the mphantom element.

For the above reason, mphantom is not considered space-like (Section 3.2.7 Space <mspace/>) unless its content is space-like, since the suggested rendering rules for operators are affected by whether nearby elements are space-like. Even so, the warning about the legal grouping of space-like elements may apply to uses of mphantom.

3.3.7.2 Attributes

mphantom elements accept the attributes listed in Section 3.1.10 Mathematics style attributes common to presentation elements (the mathcolor has no effect).

3.3.7.3 Examples

There is one situation where the preceding rules for rendering an mphantom may not give the desired effect. When an mphantom is wrapped around a subsequence of the arguments of an mrow, the default determination of the form attribute for an mo element within the subsequence can change. (See the default value of the form attribute described in Section 3.2.5 Operator, Fence, Separator or Accent <mo>.) It may be necessary to add an explicit form attribute to such an mo in these cases. This is illustrated in the following example.

In this example, mphantom is used to ensure alignment of corresponding parts of the numerator and denominator of a fraction:

<mfrac>
  <mrow>
    <mi> x </mi>
    <mo> + </mo>
    <mi> y </mi>
    <mo> + </mo>
    <mi> z </mi>
  </mrow>
  <mrow>
    <mi> x </mi>
    <mphantom>
      <mo form="infix"> + </mo>
      <mi> y </mi>
    </mphantom>
    <mo> + </mo>
    <mi> z </mi>
  </mrow>
</mfrac>

This would render as something like

\frac{x+y+x}{x\phantom{{}+y}+z}

rather than as

\frac{x+y+z}{x+z}

The explicit attribute setting form="infix" on the mo element inside the mphantom sets the form attribute to what it would have been in the absence of the surrounding mphantom. This is necessary since otherwise, the + sign would be interpreted as a prefix operator, which might have slightly different spacing.

Alternatively, this problem could be avoided without any explicit attribute settings, by wrapping each of the arguments <mo>+</mo> and <mi>y</mi> in its own mphantom element, i.e.

<mfrac>
   <mrow>
      <mi> x </mi>
      <mo> + </mo>
      <mi> y </mi>
      <mo> + </mo>
      <mi> z </mi>
   </mrow>
   <mrow>
      <mi> x </mi>
      <mphantom>
         <mo> + </mo>
      </mphantom>
      <mphantom>
         <mi> y </mi>
      </mphantom>
      <mo> + </mo>
      <mi> z </mi>
   </mrow>
</mfrac>

3.3.8 Expression Inside Pair of Fences <mfenced>

3.3.8.1 Description

The mfenced element provides a convenient form in which to express common constructs involving fences (i.e. braces, brackets, and parentheses), possibly including separators (such as comma) between the arguments.

For example, <mfenced> <mi>x</mi> </mfenced> renders as "(x)" and is equivalent to

<mrow> <mo> ( </mo> <mi>x</mi> <mo> ) </mo> </mrow>

and <mfenced> <mi>x</mi> <mi>y</mi> </mfenced> renders as "(x, y)" and is equivalent to

<mrow>
  <mo> ( </mo>
  <mrow> <mi>x</mi> <mo>,</mo> <mi>y</mi> </mrow>
  <mo> ) </mo>
</mrow>

Individual fences or separators are represented using mo elements, as described in Section 3.2.5 Operator, Fence, Separator or Accent <mo>. Thus, any mfenced element is completely equivalent to an expanded form described below; either form can be used in MathML, at the convenience of an author or of a MathML-generating program. A MathML renderer is required to render either of these forms in exactly the same way.

In general, an mfenced element can contain zero or more arguments, and will enclose them between fences in an mrow; if there is more than one argument, it will insert separators between adjacent arguments, using an additional nested mrow around the arguments and separators for proper grouping (Section 3.3.1 Horizontally Group Sub-Expressions <mrow>). The general expanded form is shown below. The fences and separators will be parentheses and comma by default, but can be changed using attributes, as shown in the following table.

3.3.8.2 Attributes

mfenced elements accept the attributes listed below in addition to those specified in Section 3.1.10 Mathematics style attributes common to presentation elements. The delimiters and separators should be drawn using the color specified by mathcolor.

Name values default
open string (
Specifies the opening delimiter. Since it is used as the content of an mo element, any whitespace will be trimmed and collapsed as described in Section 2.1.7 Collapsing Whitespace in Input.
close string )
Specifies the closing delimiter. Since it is used as the content of an mo element, any whitespace will be trimmed and collapsed as described in Section 2.1.7 Collapsing Whitespace in Input.
separators string ,
Specifies a sequence of zero or more separator characters, optionally separated by whitespace. Each pair of arguments is displayed separated by the corresponding separator (none appears after the last argument). If there are too many separators, the excess are ignored; if there are too few, the last separator is repeated. Any whitespace within separators is ignored.

A generic mfenced element, with all attributes explicit, looks as follows:

<mfenced open="opening-fence"
         close="closing-fence"
         separators="sep#1 sep#2 ... sep#(n-1)" >
   arg#1
   ...
   arg#n
</mfenced>

In a RTL directionality context, since the initial text direction is RTL, characters in the open and close attributes that have a mirroring counterpart will be rendered in that mirrored form. In particular, the default values will render correctly as a parenthesized sequence in both LTR and RTL contexts.

The general mfenced element shown above is equivalent to the following expanded form:

<mrow>
   <mo fence="true"> opening-fence </mo>
   <mrow>
      arg#1
      <mo separator="true"> sep#1 </mo>
      ...
      <mo separator="true"> sep#(n-1) </mo>
      arg#n
   </mrow>
   <mo fence="true"> closing-fence </mo>
</mrow>

Each argument except the last is followed by a separator. The inner mrow is added for proper grouping, as described in Section 3.3.1 Horizontally Group Sub-Expressions <mrow>.

When there is only one argument, the above form has no separators; since <mrow> arg#1 </mrow> is equivalent to arg#1 (as described in Section 3.3.1 Horizontally Group Sub-Expressions <mrow>), this case is also equivalent to:

<mrow>
   <mo fence="true"> opening-fence </mo>
   arg#1
   <mo fence="true"> closing-fence </mo>
</mrow>

If there are too many separator characters, the extra ones are ignored. If separator characters are given, but there are too few, the last one is repeated as necessary. Thus, the default value of separators="," is equivalent to separators=",,", separators=",,,", etc. If there are no separator characters provided but some are needed, for example if separators=" " or "" and there is more than one argument, then no separator elements are inserted at all — that is, the elements <mo separator="true"> sep#i </mo> are left out entirely. Note that this is different from inserting separators consisting of mo elements with empty content.

Finally, for the case with no arguments, i.e.

<mfenced open="opening-fence"
         close="closing-fence"
         separators="anything" >
</mfenced>

the equivalent expanded form is defined to include just the fences within an mrow:

<mrow>
   <mo fence="true"> opening-fence </mo>
   <mo fence="true"> closing-fence </mo>
</mrow>

Note that not all "fenced expressions" can be encoded by an mfenced element. Such exceptional expressions include those with an "embellished" separator or fence or one enclosed in an mstyle element, a missing or extra separator or fence, or a separator with multiple content characters. In these cases, it is necessary to encode the expression using an appropriately modified version of an expanded form. As discussed above, it is always permissible to use the expanded form directly, even when it is not necessary. In particular, authors cannot be guaranteed that MathML preprocessors won't replace occurrences of mfenced with equivalent expanded forms.

Note that the equivalent expanded forms shown above include attributes on the mo elements that identify them as fences or separators. Since the most common choices of fences and separators already occur in the operator dictionary with those attributes, authors would not normally need to specify those attributes explicitly when using the expanded form directly. Also, the rules for the default form attribute (Section 3.2.5 Operator, Fence, Separator or Accent <mo>) cause the opening and closing fences to be effectively given the values form="prefix" and form="postfix" respectively, and the separators to be given the value form="infix".

Note that it would be incorrect to use mfenced with a separator of, for instance, "+", as an abbreviation for an expression using "+" as an ordinary operator, e.g.

<mrow>
  <mi>x</mi> <mo>+</mo> <mi>y</mi> <mo>+</mo> <mi>z</mi>
</mrow>

This is because the + signs would be treated as separators, not infix operators. That is, it would render as if they were marked up as <mo separator="true">+</mo>, which might therefore render inappropriately.

3.3.8.3 Examples

(a+b)

<mfenced>
  <mrow>
    <mi> a </mi>
    <mo> + </mo>
    <mi> b </mi>
  </mrow>
</mfenced>

Note that the above mrow is necessary so that the mfenced has just one argument. Without it, this would render incorrectly as "(a, +, b)".

[0,1)

<mfenced open="[">
  <mn> 0 </mn>
  <mn> 1 </mn>
</mfenced>

f(x,y)

<mrow>
  <mi> f </mi>
  <mo> &#x2061;<!--FUNCTION APPLICATION--> </mo>
  <mfenced>
    <mi> x </mi>
    <mi> y </mi>
  </mfenced>
</mrow>

3.3.9 Enclose Expression Inside Notation <menclose>

3.3.9.1 Description

The menclose element renders its content inside the enclosing notation specified by its notation attribute. menclose accepts a single argument possibly being an inferred mrow of multiple children; see Section 3.1.3 Required Arguments.

3.3.9.2 Attributes

menclose elements accept the attributes listed below in addition to those specified in Section 3.1.10 Mathematics style attributes common to presentation elements. The notations should be drawn using the color specified by mathcolor.

The values allowed for notation are open-ended. Conforming renderers may ignore any value they do not handle, although renderers are encouraged to render as many of the values listed below as possible.

Name values default
notation ("longdiv" | "actuarial" | "radical" | "box" | "roundedbox" | "circle" | "left" | "right" | "top" | "bottom" | "updiagonalstrike" | "downdiagonalstrike" | "verticalstrike" | "horizontalstrike" | "madruwb" | text) + longdiv
Specifies a space separated list of notations to be used to enclose the children. See below for a description of each type of notation.

Any number of values can be given for notation separated by whitespace; all of those given and understood by a MathML renderer should be rendered. Each should be rendered as if the others were not present; they should not nest one inside of the other. For example, notation="circle box" should result in circle and a box around the contents of menclose; the circle and box may overlap. This is shown in the first example below.

When notation has the value "longdiv", the contents are drawn enclosed by a long division symbol. A complete example of long division is accomplished by also using mtable and malign. When notation is specified as "actuarial", the contents are drawn enclosed by an actuarial symbol. A similar result can be achieved with the value "top right". The case of notation="radical" is equivalent to the msqrt schema (and thus affected by the directionality).

The values "box", "roundedbox", and "circle" should enclose the contents as indicated by the values. The amount of distance between the box, roundedbox, or circle, and the contents are not specified by MathML, and is left to the renderer. In practice, paddings on each side of 0.4em in the horizontal direction and .5ex in the vertical direction seem to work well.

The values "left", "right", "top" and "bottom" should result in lines drawn on those sides of the contents. The values "updiagonalstrike", "downdiagonalstrike", "verticalstrike" and "horizontalstrike" should result in the indicated strikeout lines being superimposed over the content of the menclose, e.g. a strikeout that extends from the lower left corner to the upper right corner of the menclose element for "updiagonalstrike", etc. (Note that "updiagonalstrike" ("downdiagonalstrike") is taken to be a line from the lower-left to upper-right (upper-left to lower-right, resp.), independent of directionality.)

The value "madruwb" should generate an enclosure representing an Arabic factorial (‘madruwb’ is the transliteration of the Arabic مضروب for factorial). This is shown in the third example below.

The baseline of an menclose element is the baseline of its child (which might be an implied mrow).

3.3.9.3 Examples

An example of using multiple attributes is

<menclose notation='circle box'>
  <mi> x </mi><mo> + </mo><mi> y </mi>
</menclose>

which renders with the box and circle overlapping roughly as

[Image of a circle and box around x plus y]

.

An example of using menclose for actuarial notation is

<msub>
  <mi>a</mi>
  <mrow>
    <menclose notation='actuarial'>
      <mi>n</mi>
    </menclose>
    <mo>&#x2063;<!--INVISIBLE SEPARATOR--></mo>
    <mi>i</mi>
  </mrow>
</msub>

which renders roughly as

[image of actuarial notation for a angle n at i]

An example of "madruwb" is:

  <menclose notation="madruwb">
    <mn>12</mn>
  </menclose>

which renders roughly as

[Image of 12 factorial in Arabic style]

.

3.4 Script and Limit Schemata

The elements described in this section position one or more scripts around a base. Attaching various kinds of scripts and embellishments to symbols is a very common notational device in mathematics. For purely visual layout, a single general-purpose element could suffice for positioning scripts and embellishments in any of the traditional script locations around a given base. However, in order to capture the abstract structure of common notation better, MathML provides several more specialized scripting elements.

In addition to sub/superscript elements, MathML has overscript and underscript elements that place scripts above and below the base. These elements can be used to place limits on large operators, or for placing accents and lines above or below the base. The rules for rendering accents differ from those for overscripts and underscripts, and this difference can be controlled with the accent and accentunder attributes, as described in the appropriate sections below.

Rendering of scripts is affected by the scriptlevel and displaystyle attributes, which are part of the environment inherited by the rendering process of every MathML expression, and are described in Section 3.1.6 Displaystyle and Scriptlevel. These attributes cannot be given explicitly on a scripting element, but can be specified on the start tag of a surrounding mstyle element if desired.

MathML also provides an element for attachment of tensor indices. Tensor indices are distinct from ordinary subscripts and superscripts in that they must align in vertical columns. Tensor indices can also occur in prescript positions. Note that ordinary scripts follow the base (on the right in LTR context, but on the left in RTL context); prescripts precede the base (on the left (right) in LTR (RTL) context).

Because presentation elements should be used to describe the abstract notational structure of expressions, it is important that the base expression in all "scripting" elements (i.e. the first argument expression) should be the entire expression that is being scripted, not just the trailing character. For example, (x+y)2 should be written as:

<msup>
  <mrow>
    <mo> ( </mo>
    <mrow>
      <mi> x </mi>
      <mo> + </mo>
      <mi> y </mi>
    </mrow>
    <mo> ) </mo>
  </mrow>
  <mn> 2 </mn>
</msup>

3.4.1 Subscript <msub>

3.4.1.1 Description

The msub element attaches a subscript to a base using the syntax

<msub> base subscript </msub>

It increments scriptlevel by 1, and sets displaystyle to "false", within subscript, but leaves both attributes unchanged within base. (See Section 3.1.6 Displaystyle and Scriptlevel.)

3.4.1.2 Attributes

msub elements accept the attributes listed below in addition to those specified in Section 3.1.10 Mathematics style attributes common to presentation elements.

Name values default
subscriptshift length automatic
Specifies the minimum amount to shift the baseline of subscript down; the default is for the rendering agent to use its own positioning rules.

3.4.2 Superscript <msup>

3.4.2.1 Description

The msup element attaches a superscript to a base using the syntax

<msup> base superscript </msup>

It increments scriptlevel by 1, and sets displaystyle to "false", within superscript, but leaves both attributes unchanged within base. (See Section 3.1.6 Displaystyle and Scriptlevel.)

3.4.2.2 Attributes

msup elements accept the attributes listed below in addition to those specified in Section 3.1.10 Mathematics style attributes common to presentation elements.

Name values default
superscriptshift length automatic
Specifies the minimum amount to shift the baseline of superscript up; the default is for the rendering agent to use its own positioning rules.

3.4.3 Subscript-superscript Pair <msubsup>

3.4.3.1 Description

The msubsup element is used to attach both a subscript and superscript to a base expression.

<msubsup> base subscript superscript </msubsup>

It increments scriptlevel by 1, and sets displaystyle to "false", within subscript and superscript, but leaves both attributes unchanged within base. (See Section 3.1.6 Displaystyle and Scriptlevel.)

Note that both scripts are positioned tight against the base as shown here x_1^2 versus the staggered positioning of nested scripts as shown here x_1{}^2; the latter can be achieved by nesting an msub inside an msup.

3.4.3.2 Attributes

msubsup elements accept the attributes listed below in addition to those specified in Section 3.1.10 Mathematics style attributes common to presentation elements.

Name values default
subscriptshift length automatic
Specifies the minimum amount to shift the baseline of subscript down; the default is for the rendering agent to use its own positioning rules.
superscriptshift length automatic
Specifies the minimum amount to shift the baseline of superscript up; the default is for the rendering agent to use its own positioning rules.

3.4.3.3 Examples

The msubsup is most commonly used for adding sub/superscript pairs to identifiers as illustrated above. However, another important use is placing limits on certain large operators whose limits are traditionally displayed in the script positions even when rendered in display style. The most common of these is the integral. For example,

\int\nolimits_0^1 \eulere^x \,\diffd x

would be represented as

<mrow>
  <msubsup>
    <mo> &#x222B;<!--INTEGRAL--> </mo>
    <mn> 0 </mn>
    <mn> 1 </mn>
  </msubsup>
  <mrow>
    <msup>
      <mi> &#x2147;<!--DOUBLE-STRUCK ITALIC SMALL E--> </mi>
      <mi> x </mi>
    </msup>
    <mo> &#x2062;<!--INVISIBLE TIMES--> </mo>
    <mrow>
      <mo> &#x2146;<!--DOUBLE-STRUCK ITALIC SMALL D--> </mo>
      <mi> x </mi>
    </mrow>
  </mrow>
</mrow>

3.4.4 Underscript <munder>

3.4.4.1 Description

The munder element attaches an accent or limit placed under a base using the syntax

<munder> base underscript </munder>

It always sets displaystyle to "false" within the underscript, but increments scriptlevel by 1 only when accentunder is "false". Within base, it always leaves both attributes unchanged. (See Section 3.1.6 Displaystyle and Scriptlevel.)

If base is an operator with movablelimits="true" (or an embellished operator whose mo element core has movablelimits="true"), and displaystyle="false", then underscript is drawn in a subscript position. In this case, the accentunder attribute is ignored. This is often used for limits on symbols such as &sum;.

3.4.4.2 Attributes

munder elements accept the attributes listed below in addition to those specified in Section 3.1.10 Mathematics style attributes common to presentation elements.

Name values default
accentunder "true" | "false" automatic
Specifies whether underscript is drawn as an "accent" or as a limit. An accent is drawn the same size as the base (without incrementing scriptlevel) and is drawn closer to the base.
align "left" | "right" | "center" center
Specifies whether the script is aligned left, center, or right under/over the base.

The default value of accentunder is false, unless underscript is an mo element or an embellished operator (see Section 3.2.5 Operator, Fence, Separator or Accent <mo>). If underscript is an mo element, the value of its accent attribute is used as the default value of accentunder. If underscript is an embellished operator, the accent attribute of the mo element at its core is used as the default value. As with all attributes, an explicitly given value overrides the default.

Here is an example (accent versus underscript): \underbrace{x+y+z} versus \underbrace{\strut x+y+z}. The MathML representation for this example is shown below.

3.4.4.3 Examples

The MathML representation for the example shown above is:

<mrow>
  <munder accentunder="true">
    <mrow>
      <mi> x </mi>
      <mo> + </mo>
      <mi> y </mi>
      <mo> + </mo>
      <mi> z </mi>
    </mrow>
    <mo> &#x23DF;<!--BOTTOM CURLY BRACKET--> </mo>
  </munder>
  <mtext>&#xA0;<!--NO-BREAK SPACE-->versus&#xA0;<!--NO-BREAK SPACE--></mtext>
  <munder accentunder="false">
    <mrow>
      <mi> x </mi>
      <mo> + </mo>
      <mi> y </mi>
      <mo> + </mo>
      <mi> z </mi>
    </mrow>
    <mo> &#x23DF;<!--BOTTOM CURLY BRACKET--> </mo>
  </munder>
</mrow>

3.4.5 Overscript <mover>

3.4.5.1 Description

The mover element attaches an accent or limit placed over a base using the syntax

<mover> base overscript </mover>

It always sets displaystyle to "false" within overscript, but increments scriptlevel by 1 only when accent is "false". Within base, it always leaves both attributes unchanged. (See Section 3.1.6 Displaystyle and Scriptlevel.)

If base is an operator with movablelimits="true" (or an embellished operator whose mo element core has movablelimits="true"), and displaystyle="false", then overscript is drawn in a superscript position. In this case, the accent attribute is ignored. This is often used for limits on symbols such as &sum;.

3.4.5.2 Attributes

mover elements accept the attributes listed below in addition to those specified in Section 3.1.10 Mathematics style attributes common to presentation elements.

Name values default
accent "true" | "false" automatic
Specifies whether overscript is drawn as an "accent" or as a limit. An accent is drawn the same size as the base (without incrementing scriptlevel) and is drawn closer to the base.
align "left" | "right" | "center" center
Specifies whether the script is aligned left, center, or right under/over the base.

The difference between an accent versus limit is shown here: \hat{x} versus \hat{\strut x}. These differences also apply to "mathematical accents" such as bars or braces over expressions: \overbrace{x+y+z} versus \overbrace{\strut x+y+z}. The MathML representation for each of these examples is shown below.

The default value of accent is false, unless overscript is an mo element or an embellished operator (see Section 3.2.5 Operator, Fence, Separator or Accent <mo>). If overscript is an mo element, the value of its accent attribute is used as the default value of accent for mover. If overscript is an embellished operator, the accent attribute of the mo element at its core is used as the default value.

3.4.5.3 Examples

The MathML representation for the examples shown above is:

<mrow>
  <mover accent="true">
    <mi> x </mi>
    <mo> &#x5E;<!--CIRCUMFLEX ACCENT--> </mo>
  </mover>
  <mtext>&#xA0;<!--NO-BREAK SPACE-->versus&#xA0;<!--NO-BREAK SPACE--></mtext>
  <mover accent="false">
    <mi> x </mi>
    <mo> &#x5E;<!--CIRCUMFLEX ACCENT--> </mo>
  </mover>
</mrow>
<mrow>
  <mover accent="true">
    <mrow>
      <mi> x </mi>
      <mo> + </mo>
      <mi> y </mi>
      <mo> + </mo>
      <mi> z </mi>
    </mrow>
    <mo> &#x23DE;<!--TOP CURLY BRACKET--> </mo>
  </mover>
  <mtext>&#xA0;<!--NO-BREAK SPACE-->versus&#xA0;<!--NO-BREAK SPACE--></mtext>
  <mover accent="false">
    <mrow>
      <mi> x </mi>
      <mo> + </mo>
      <mi> y </mi>
      <mo> + </mo>
      <mi> z </mi>
    </mrow>
    <mo> &#x23DE;<!--TOP CURLY BRACKET--> </mo>
  </mover>
</mrow>

3.4.6 Underscript-overscript Pair <munderover>

3.4.6.1 Description

The munderover element attaches accents or limits placed both over and under a base using the syntax

<munderover> base underscript overscript </munderover>

It always sets displaystyle to "false" within underscript and overscript, but increments scriptlevel by 1 only when accentunder or accent, respectively, are "false". Within base, it always leaves both attributes unchanged. (see Section 3.1.6 Displaystyle and Scriptlevel).

If base is an operator with movablelimits="true" (or an embellished operator whose mo element core has movablelimits="true"), and displaystyle="false", then underscript and overscript are drawn in a subscript and superscript position, respectively. In this case, the accentunder and accent attributes are ignored. This is often used for limits on symbols such as &sum;.

3.4.6.2 Attributes

munderover elements accept the attributes listed below in addition to those specified in Section 3.1.10 Mathematics style attributes common to presentation elements.

Name values default
accent "true" | "false" automatic
Specifies whether overscript is drawn as an "accent" or as a limit. An accent is drawn the same size as the base (without incrementing scriptlevel) and is drawn closer to the base.
accentunder "true" | "false" automatic
Specifies whether underscript is drawn as an "accent" or as a limit. An accent is drawn the same size as the base (without incrementing scriptlevel) and is drawn closer to the base.
align "left" | "right" | "center" center
Specifies whether the scripts are aligned left, center, or right under/over the base.

The munderover element is used so that the underscript and overscript are vertically spaced equally in relation to the base and so that they follow the slant of the base as in the second expression shown below:

\int_0^{\!\!\!\infty} versus \int_0^{\infty}. The MathML representation for this example is shown below.

The difference in the vertical spacing is too small to be noticed on a low resolution display at a normal font size, but is noticeable on a higher resolution device such as a printer and when using large font sizes. In addition to the visual differences, attaching both the underscript and overscript to the same base more accurately reflects the semantics of the expression.

The defaults for accent and accentunder are computed in the same way as for munder and mover, respectively.

3.4.6.3 Examples

The MathML representation for the example shown above with the first expression made using separate munder and mover elements, and the second one using an munderover element, is:

<mrow>
  <mover>
    <munder>
      <mo> &#x222B;<!--INTEGRAL--> </mo>
      <mn> 0 </mn>
    </munder>
    <mi> &#x221E;<!--INFINITY--> </mi>
  </mover>
  <mtext>&#xA0;<!--NO-BREAK SPACE-->versus&#xA0;<!--NO-BREAK SPACE--></mtext>
  <munderover>
    <mo> &#x222B;<!--INTEGRAL--> </mo>
    <mn> 0 </mn>
    <mi> &#x221E;<!--INFINITY--> </mi>
  </munderover>
</mrow>

3.4.7 Prescripts and Tensor Indices <mmultiscripts>

3.4.7.1 Description

Presubscripts and tensor notations are represented by a single element, mmultiscripts, using the syntax:

<mmultiscripts>
    base
     (subscript superscript)*
     [ <mprescripts/> (presubscript presuperscript)* ]
</mmultiscripts>

This element allows the representation of any number of vertically-aligned pairs of subscripts and superscripts, attached to one base expression. It supports both postscripts (to the right of the base in visual notation) and prescripts (to the left of the base in visual notation). Missing scripts can be represented by the empty element none.

The prescripts are optional, and when present are given after the postscripts, because prescripts are relatively rare compared to tensor notation.

The argument sequence consists of the base followed by zero or more pairs of vertically-aligned subscripts and superscripts (in that order) that represent all of the postscripts. This list is optionally followed by an empty element mprescripts and a list of zero or more pairs of vertically-aligned presubscripts and presuperscripts that represent all of the prescripts. The pair lists for postscripts and prescripts are given in the same order as the directional context (ie. left-to-right order in LTR context). If no subscript or superscript should be rendered in a given position, then the empty element none should be used in that position.

The base, subscripts, superscripts, the optional separator element mprescripts, the presubscripts, and the presuperscripts, are all direct sub-expressions of the mmultiscripts element, i.e. they are all at the same level of the expression tree. Whether a script argument is a subscript or a superscript, or whether it is a presubscript or a presuperscript is determined by whether it occurs in an even-numbered or odd-numbered argument position, respectively, ignoring the empty element mprescripts itself when determining the position. The first argument, the base, is considered to be in position 1. The total number of arguments must be odd, if mprescripts is not given, or even, if it is.

The empty element mprescripts is only allowed as direct sub-expression of mmultiscripts.

3.4.7.2 Attributes

Same as the attributes of msubsup. See Section 3.4.3.2 Attributes.

The mmultiscripts element increments scriptlevel by 1, and sets displaystyle to "false", within each of its arguments except base, but leaves both attributes unchanged within base. (See Section 3.1.6 Displaystyle and Scriptlevel.)

3.4.7.3 Examples

Two examples of the use of mmultiscripts are:

0F1(;a;z).

<mrow>
  <mmultiscripts>
    <mi> F </mi>
    <mn> 1 </mn>
    <none/>
    <mprescripts/>
    <mn> 0 </mn>
    <none/>
  </mmultiscripts>
  <mo> &#x2061;<!--FUNCTION APPLICATION--> </mo>
  <mrow>
    <mo> ( </mo>
    <mrow> 
      <mo> ; </mo>
      <mi> a </mi>
      <mo> ; </mo>
      <mi> z </mi>
    </mrow> 
    <mo> ) </mo>
  </mrow>
</mrow>

R_i{}^j{}_k{}_l (where k and l are different indices)

<mmultiscripts>
  <mi> R </mi>
  <mi> i </mi>
  <none/>
  <none/>
  <mi> j </mi>
  <mi> k </mi>
  <none/>
  <mi> l </mi>
  <none/>
</mmultiscripts>

An additional example of mmultiscripts shows how the binomial coefficient

[binomial(5,12) in english style]

can be displayed in Arabic style

[binomial(5,12) in Arabic style]

<mstyle dir="rtl">
  <mmultiscripts><mo>&#x0644;<!--ARABIC LETTER LAM--></mo>
    <mn>12</mn><none/>
    <mprescripts/>
    <none/><mn>5</mn>
  </mmultiscripts>
</mstyle>

3.5 Tabular Math

Matrices, arrays and other table-like mathematical notation are marked up using mtable, mtr, mlabeledtr and mtd elements. These elements are similar to the table, tr and td elements of HTML, except that they provide specialized attributes for the fine layout control necessary for commutative diagrams, block matrices and so on.

While the two-dimensional layouts used for elementary math such as addition and multiplication are somewhat similar to tables, they differ in important ways. For layout and for accessibility reasons, the mstack and mlongdiv elements discussed in Section 3.6 Elementary Math should be used for elementary math notations.

In addition to the table elements mentioned above, the mlabeledtr element is used for labeling rows of a table. This is useful for numbered equations. The first child of mlabeledtr is the label. A label is somewhat special in that it is not considered an expression in the matrix and is not counted when determining the number of columns in that row.

3.5.1 Table or Matrix <mtable>

3.5.1.1 Description

A matrix or table is specified using the mtable element. Inside of the mtable element, only mtr or mlabeledtr elements may appear. (In MathML 1.x, the mtable was allowed to ‘infer’ mtr elements around its arguments, and the mtr element could infer mtd elements. This behaviour is deprecated.)

Table rows that have fewer columns than other rows of the same table (whether the other rows precede or follow them) are effectively padded on the right (or left in RTL context) with empty mtd elements so that the number of columns in each row equals the maximum number of columns in any row of the table. Note that the use of mtd elements with non-default values of the rowspan or columnspan attributes may affect the number of mtd elements that should be given in subsequent mtr elements to cover a given number of columns. Note also that the label in an mlabeledtr element is not considered a column in the table.

MathML does not specify a table layout algorithm. In particular, it is the responsibility of a MathML renderer to resolve conflicts between the width attribute and other constraints on the width of a table, such as explicit values for columnwidth attributes, and minimum sizes for table cell contents. For a discussion of table layout algorithms, see Cascading Style Sheets, level 2.

3.5.1.2 Attributes

mtable elements accept the attributes listed below in addition to those specified in Section 3.1.10 Mathematics style attributes common to presentation elements. Any rules drawn as part of the mtable should be drawn using the color specified by mathcolor.

Name values default
align ("top" | "bottom" | "center" | "baseline" | "axis"), rownumber? axis
specifies the vertical alignment of the table with respect to its environment. "axis" means to align the vertical center of the table on the environment's axis. (The axis of an equation is an alignment line used by typesetters. It is the line on which a minus sign typically lies.) "center" and "baseline" both mean to align the center of the table on the environment's baseline. "top" or "bottom" aligns the top or bottom of the table on the environment's baseline. If the align attribute value ends with a rownumber, the specified row (counting from 1 for the top row) is aligned in the way described above, rather than the table as a whole; if rownumber is negative, it counts rows from the bottom. Other values of rownumber are illegal, but ignored
rowalign ("top" | "bottom" | "center" | "baseline" | "axis") + baseline
specifies the vertical alignment of the cells with respect to other cells within the same row: "top" aligns the tops of each entry across the row; "bottom" aligns the bottoms of the cells, "center" centers the cells; "baseline" aligns the baselines of the cells; "axis" aligns the axis of each cells. (See the note below about multiple values).
columnalign ("left" | "center" | "right") + center
specifies the horizontal alignment of the cells with respect to other cells within the same column: "left" aligns the left side of the cells; "center" centers each cells; "right" aligns the right side of the cells. (See the note below about multiple values).
groupalign group-alignment-list-list {left}
[this attribute is described with the alignment elements, maligngroup and malignmark, in Section 3.5.5 Alignment Markers <maligngroup/>, <malignmark/>.]
alignmentscope ("true" | "false") + true
[this attribute is described with the alignment elements, maligngroup and malignmark, in Section 3.5.5 Alignment Markers <maligngroup/>, <malignmark/>.]
columnwidth ("auto" | length | "fit") + auto
specifies how wide a column should be: "auto" means that the column should be as wide as needed; an explicit length means that the column is exactly that wide and the contents of that column are made to fit by linewrapping or clipping at the discretion of the renderer; "fit" means that the page width remaining after subtracting the "auto" or fixed width columns is divided equally among the "fit" columns. If insufficient room remains to hold the contents of the "fit" columns, renderers may linewrap or clip the contents of the "fit" columns. Note that when the columnwidth is specified as a percentage, the value is relative to the width of the table, not as a percentage of the default (which is "auto"). That is, a renderer should try to adjust the width of the column so that it covers the specified percentage of the entire table width. (See the note below about multiple values).
width "auto" | length auto
specifies the desired width of the entire table and is intended for visual user agents. When the value is a percentage value, the value is relative to the horizontal space a MathML renderer has available for the math element. When the value is "auto", the MathML renderer should calculate the table width from its contents using whatever layout algorithm it chooses.
rowspacing (length) + 1.0ex
specifies how much space to add between rows. (See the note below about multiple values).
columnspacing (length) + 0.8em
specifies how much space to add between rows. (See the note below about multiple values).
rowlines ("none" | "solid" | "dashed") + none
specifies whether and what kind of lines should be added between each row: "none" means no lines; "solid" means solid lines; "dashed" means dashed lines (how the dashes are spaced is implementation dependent). (See the note below about multiple values).
columnlines ("none" | "solid" | "dashed") + none
specifies whether and what kind of lines should be added between each column: "none" means no lines; "solid" means solid lines; "dashed" means dashed lines (how the dashes are spaced is implementation dependent). (See the note below about multiple values).
frame "none" | "solid" | "dashed" none
specifies whether and what kind of lines should be drawn around the table. "none" means no lines; "solid" means solid lines; "dashed" means dashed lines (how the dashes are spaced is implementation dependent).
framespacing length, length 0.4em 0.5ex
specifies the additional spacing added between the table and frame, if frame is not "none". The first value specifies the spacing on the right and left; the second value specifies the spacing above and below.
equalrows "true" | "false" false
specifies whether to force all rows to have the same total height.
equalcolumns "true" | "false" false
specifies whether to force all columns to have the same total width.
displaystyle "true" | "false" inherited (false)
specifies the value of displaystyle within each cell, (scriptlevel is not changed); see Section 3.1.6 Displaystyle and Scriptlevel.
side "left" | "right" | "leftoverlap" | "rightoverlap" right
specifies on what side of the table labels from enclosed mlabeledtr (if any) should be placed. The variants "leftoverlap" and "rightoverlap" are useful when the table fits with the allowed width when the labels are omitted, but not when they are included: in such cases, the labels will overlap the row placed above it if the rowalign for that row is "top", otherwise it is placed below it.
minlabelspacing length 0.8em
specifies the minimum space allowed between a label and the adjacent cell in the row.

In the above specifications for attributes affecting rows (respectively, columns, or the gaps between rows or columns), the notation (...)+ means that multiple values can be given for the attribute as a space separated list (see Section 2.1.5 MathML Attribute Values). In this context, a single value specifies the value to be used for all rows (resp., columns or gaps). A list of values are taken to apply to corresponding rows (resp., columns or gaps) in order, that is starting from the top row for rows or first column (left or right, depending on directionality) for columns. If there are more rows (resp., columns or gaps) than supplied values, the last value is repeated as needed. If there are too many values supplied, the excess are ignored.

Note that none of the spaces occupied by lines frame, rowlines and columnlines, nor the spacing framespacing, rowspacing or columnspacing, nor the label in mlabeledtr are counted as rows or columns.

The displaystyle attribute is allowed on the mtable element to set the inherited value of the attribute. If the attribute is not present, the mtable element sets displaystyle to "false" within the table elements. (See Section 3.1.6 Displaystyle and Scriptlevel.)

3.5.1.3 Examples

A 3 by 3 identity matrix could be represented as follows:

<mrow>
  <mo> ( </mo>
  <mtable>
    <mtr>
      <mtd> <mn>1</mn> </mtd>
      <mtd> <mn>0</mn> </mtd>
      <mtd> <mn>0</mn> </mtd>
    </mtr>
    <mtr>
      <mtd> <mn>0</mn> </mtd>
      <mtd> <mn>1</mn> </mtd>
      <mtd> <mn>0</mn> </mtd>
    </mtr>
    <mtr>
      <mtd> <mn>0</mn> </mtd>
      <mtd> <mn>0</mn> </mtd>
      <mtd> <mn>1</mn> </mtd>
    </mtr>
  </mtable>
  <mo> ) </mo>
</mrow>

This might be rendered as:

\left(\begin{array}{ccc}1 & 0 & 0 \\ 0 & 1 & 0 \\ 0 & 0 & 1\end{array}\right)

Note that the parentheses must be represented explicitly; they are not part of the mtable element's rendering. This allows use of other surrounding fences, such as brackets, or none at all.

3.5.2 Row in Table or Matrix <mtr>

3.5.2.1 Description

An mtr element represents one row in a table or matrix. An mtr element is only allowed as a direct sub-expression of an mtable element, and specifies that its contents should form one row of the table. Each argument of mtr is placed in a different column of the table, starting at the leftmost column in a LTR context or rightmost column in a RTL context.

As described in Section 3.5.1 Table or Matrix <mtable>, mtr elements are effectively padded with mtd elements when they are shorter than other rows in a table.

3.5.2.2 Attributes

mtr elements accept the attributes listed below in addition to those specified in Section 3.1.10 Mathematics style attributes common to presentation elements.

Name values default
rowalign "top" | "bottom" | "center" | "baseline" | "axis" inherited
overrides, for this row, the vertical alignment of cells specified by the rowalign attribute on the mtable.
columnalign ("left" | "center" | "right") + inherited
overrides, for this row, the horizontal alignment of cells specified by the columnalign attribute on the mtable.
groupalign group-alignment-list-list inherited
[this attribute is described with the alignment elements, maligngroup and malignmark, in Section 3.5.5 Alignment Markers <maligngroup/>, <malignmark/>.]

3.5.3 Labeled Row in Table or Matrix <mlabeledtr>

3.5.3.1 Description

An mlabeledtr element represents one row in a table that has a label on either the left or right side, as determined by the side attribute. The label is the first child of mlabeledtr, and should be enclosed in an mtd. The rest of the children represent the contents of the row and are treated identically to the children of mtr; consequently all of the children must be mtd elements.

An mlabeledtr element is only allowed as a direct sub-expression of an mtable element. Each argument of mlabeledtr except for the first argument (the label) is placed in a different column of the table, starting at the leftmost column.

Note that the label element is not considered to be a cell in the table row. In particular, the label element is not taken into consideration in the table layout for purposes of width and alignment calculations. For example, in the case of an mlabeledtr with a label and a single centered mtd child, the child is first centered in the enclosing mtable, and then the label is placed. Specifically, the child is not centered in the space that remains in the table after placing the label.

While MathML does not specify an algorithm for placing labels, implementers of visual renderers may find the following formatting model useful. To place a label, an implement or might think in terms of creating a larger table, with an extra column on both ends. The columnwidth attributes of both these border columns would be set to "fit" so that they expand to fill whatever space remains after the inner columns have been laid out. Finally, depending on the values of side and minlabelspacing, the label is placed in whatever border column is appropriate, possibly shifted down if necessary, and aligned according to columnalignment.

3.5.3.2 Attributes

The attributes for mlabeledtr are the same as for mtr. Unlike the attributes for the mtable element, attributes of mlabeledtr that apply to column elements also apply to the label. For example, in a one column table,


<mlabeledtr rowalign='top'>

means that the label and other entries in the row are vertically aligned along their top. To force a particular alignment on the label, the appropriate attribute would normally be set on the mtd start tag that surrounds the label content.

3.5.3.3 Equation Numbering

One of the important uses of mlabeledtr is for numbered equations. In a mlabeledtr, the label represents the equation number and the elements in the row are the equation being numbered. The side and minlabelspacing attributes of mtable determine the placement of the equation number.

In larger documents with many numbered equations, automatic numbering becomes important. While automatic equation numbering and automatically resolving references to equation numbers is outside the scope of MathML, these problems can be addressed by the use of style sheets or other means. The mlabeledtr construction provides support for both of these functions in a way that is intended to facilitate XSLT processing. The mlabeledtr element can be used to indicate the presence of a numbered equation, and the first child can be changed to the current equation number, along with incrementing the global equation number. For cross references, an id on either the mlabeledtr element or on the first element itself could be used as a target of any link.

<mtable>
  <mlabeledtr id='e-is-m-c-square'>
    <mtd>
      <mtext> (2.1) </mtext>
    </mtd>
    <mtd>
     <mrow>
       <mi>E</mi>
       <mo>=</mo>
       <mrow>
        <mi>m</mi>
        <mo>&#x2062;<!--INVISIBLE TIMES--></mo>
        <msup>
         <mi>c</mi>
         <mn>2</mn>
        </msup>
       </mrow>
     </mrow>
    </mtd>
  </mlabeledtr>
</mtable>

This should be rendered as:

      E = mc2 (2.1)

3.5.4 Entry in Table or Matrix <mtd>

3.5.4.1 Description

An mtd element represents one entry, or cell, in a table or matrix. An mtd element is only allowed as a direct sub-expression of an mtr or an mlabeledtr element.

The mtd element accepts a single argument possibly being an inferred mrow of multiple children; see Section 3.1.3 Required Arguments.

3.5.4.2 Attributes

mtd elements accept the attributes listed below in addition to those specified in Section 3.1.10 Mathematics style attributes common to presentation elements.

Name values default
rowspan positive-integer 1
causes the cell to be treated as if it occupied the number of rows specified. The corresponding mtd in the following "rowspan"-1 rows must be omitted. The interpretation corresponds with the similar attributes for HTML 4.01 tables.
columnspan positive-integer 1
causes the cell to be treated as if it occupied the number of columns specified. The following "rowspan"-1 mtds must be omitted. The interpretation corresponds with the similar attributes for HTML 4.01 tables.
rowalign "top" | "bottom" | "center" | "baseline" | "axis" inherited
specifies the vertical alignment of this cell, overriding any value specified on the containing mrow and mtable. See the rowalign attribute of mtable.
columnalign "left" | "center" | "right" inherited
specifies the horizontal alignment of this cell, overriding any value specified on the containing mrow and mtable. See the columnalign attribute of mtable.
groupalign group-alignment-list inherited
[this attribute is described with the alignment elements, maligngroup and malignmark, in Section 3.5.5 Alignment Markers <maligngroup/>, <malignmark/>.]

The rowspan and columnspan attributes can be used around an mtd element that represents the label in a mlabeledtr element. Also, the label of a mlabeledtr element is not considered to be part of a previous rowspan and columnspan.

3.5.5 Alignment Markers <maligngroup/>, <malignmark/>

3.5.5.1 Description

Alignment markers are space-like elements (see Section 3.2.7 Space <mspace/>) that can be used to vertically align specified points within a column of MathML expressions by the automatic insertion of the necessary amount of horizontal space between specified sub-expressions.

The discussion that follows will use the example of a set of simultaneous equations that should be rendered with vertical alignment of the coefficients and variables of each term, by inserting spacing somewhat like that shown here:

    8.44x + 55  y =  0
    3.1 x -  0.7y = -1.1

If the example expressions shown above were arranged in a column but not aligned, they would appear as:

    8.44x + 55y = 0
    3.1x - 0.7y = -1.1

For audio renderers, it is suggested that the alignment elements produce the analogous behavior of altering the rhythm of pronunciation so that it is the same for several sub-expressions in a column, by the insertion of the appropriate time delays in place of the extra horizontal spacing described here.

The expressions whose parts are to be aligned (each equation, in the example above) must be given as the table elements (i.e. as the mtd elements) of one column of an mtable. To avoid confusion, the term "table cell" rather than "table element" will be used in the remainder of this section.

All interactions between alignment elements are limited to the mtable column they arise in. That is, every column of a table specified by an mtable element acts as an "alignment scope" that contains within it all alignment effects arising from its contents. It also excludes any interaction between its own alignment elements and the alignment elements inside any nested alignment scopes it might contain.

The reason mtable columns are used as alignment scopes is that they are the only general way in MathML to arrange expressions into vertical columns. Future versions of MathML may provide an malignscope element that allows an alignment scope to be created around any MathML element, but even then, table columns would still sometimes need to act as alignment scopes, and since they are not elements themselves, but rather are made from corresponding parts of the content of several mtr elements, they could not individually be the content of an alignment scope element.

An mtable element can be given the attribute alignmentscope="false" to cause its columns not to act as alignment scopes. This is discussed further at the end of this section. Otherwise, the discussion in this section assumes that this attribute has its default value of "true".

3.5.5.2 Specifying alignment groups

To cause alignment, it is necessary to specify, within each expression to be aligned, the points to be aligned with corresponding points in other expressions, and the beginning of each alignment group of sub-expressions that can be horizontally shifted as a unit to effect the alignment. Each alignment group must contain one alignment point. It is also necessary to specify which expressions in the column have no alignment groups at all, but are affected only by the ordinary column alignment for that column of the table, i.e. by the columnalign attribute, described elsewhere.

The alignment groups start at the locations of invisible maligngroup elements, which are rendered with zero width when they occur outside of an alignment scope, but within an alignment scope are rendered with just enough horizontal space to cause the desired alignment of the alignment group that follows them. A simple algorithm by which a MathML application can achieve this is given later. In the example above, each equation would have one maligngroup element before each coefficient, variable, and operator on the left-hand side, one before the = sign, and one before the constant on the right-hand side.

In general, a table cell containing n maligngroup elements contains n alignment groups, with the ith group consisting of the elements entirely after the ith maligngroup element and before the (i+1)-th; no element within the table cell's content should occur entirely before its first maligngroup element.

Note that the division into alignment groups does not necessarily fit the nested expression structure of the MathML expression containing the groups — that is, it is permissible for one alignment group to consist of the end of one mrow, all of another one, and the beginning of a third one, for example. This can be seen in the MathML markup for the present example, given at the end of this section.

The nested expression structure formed by mrows and other layout schemata should reflect the mathematical structure of the expression, not the alignment-group structure, to make possible optimal renderings and better automatic interpretations; see the discussion of proper grouping in section Section 3.3.1 Horizontally Group Sub-Expressions <mrow>. Insertion of alignment elements (or other space-like elements) should not alter the correspondence between the structure of a MathML expression and the structure of the mathematical expression it represents.

Although alignment groups need not coincide with the nested expression structure of layout schemata, there are nonetheless restrictions on where an maligngroup element is allowed within a table cell. The maligngroup element may only be contained within elements (directly or indirectly) of the following types (which are themselves contained in the table cell):

  • an mrow element, including an inferred mrow such as the one formed by a multi-child mtd element;

  • an mstyle element;

  • an mphantom element;

  • an mfenced element;

  • an maction element, though only its selected sub-expression is checked;

  • a semantics element.

These restrictions are intended to ensure that alignment can be unambiguously specified, while avoiding complexities involving things like overscripts, radical signs and fraction bars. They also ensure that a simple algorithm suffices to accomplish the desired alignment.

Note that some positions for an maligngroup element, although legal, are not useful, such as for an maligngroup element to be an argument of an mfenced element. When inserting an maligngroup element before a given element in pre-existing MathML, it will often be necessary, and always acceptable, to form a new mrow element to contain just the maligngroup element and the element it is inserted before. In general, this will be necessary except when the maligngroup element is inserted directly into an mrow or into an element that can form an inferred mrow from its contents. See the warning about the legal grouping of "space-like elements" in Section 3.2.7 Space <mspace/>.

For the table cells that are divided into alignment groups, every element in their content must be part of exactly one alignment group, except the elements from the above list that contain maligngroup elements inside them, and the maligngroup elements themselves. This means that, within any table cell containing alignment groups, the first complete element must be an maligngroup element, though this may be preceded by the start tags of other elements.

This requirement removes a potential confusion about how to align elements before the first maligngroup element, and makes it easy to identify table cells that are left out of their column's alignment process entirely.

Note that it is not required that the table cells in a column that are divided into alignment groups each contain the same number of groups. If they don't, zero-width alignment groups are effectively added on the right side of each table cell that has fewer groups than other table cells in the same column.

3.5.5.3 Table cells that are not divided into alignment groups

Expressions in a column that are to have no alignment groups should contain no maligngroup elements. Expressions with no alignment groups are aligned using only the columnalign attribute that applies to the table column as a whole, and are not affected by the groupalign attribute described below. If such an expression is wider than the column width needed for the table cells containing alignment groups, all the table cells containing alignment groups will be shifted as a unit within the column as described by the columnalign attribute for that column. For example, a column heading with no internal alignment could be added to the column of two equations given above by preceding them with another table row containing an mtext element for the heading, and using the default columnalign="center" for the table, to produce:

equations with aligned variables
      8.44x + 55  y =  0
      3.1 x -  0.7y = -1.1

or, with a shorter heading,

   some equations
8.44x + 55  y =  0
3.1 x -  0.7y = -1.1

3.5.5.4 Specifying alignment points using <malignmark/>

Each alignment group's alignment point can either be specified by an malignmark element anywhere within the alignment group (except within another alignment scope wholly contained inside it), or it is determined automatically from the groupalign attribute. The groupalign attribute can be specified on the group's preceding maligngroup element or on its surrounding mtd, mtr, or mtable elements. In typical cases, using the groupalign attribute is sufficient to describe the desired alignment points, so no malignmark elements need to be provided.

The malignmark element indicates that the alignment point should occur on the right edge of the preceding element, or the left edge of the following element or character, depending on the edge attribute of malignmark. Note that it may be necessary to introduce an mrow to group an malignmark element with a neighboring element, in order not to alter the argument count of the containing element. (See the warning about the legal grouping of "space-like elements" in Section 3.2.7 Space <mspace/>).

When an malignmark element is provided within an alignment group, it can occur in an arbitrarily deeply nested element within the group, as long as it is not within a nested alignment scope. It is not subject to the same restrictions on location as maligngroup elements. However, its immediate surroundings need to be such that the element to its immediate right or left (depending on its edge attribute) can be unambiguously identified. If no such element is present, renderers should behave as if a zero-width element had been inserted there.

For the purposes of alignment, an element X is considered to be to the immediate left of an element Y, and Y to the immediate right of X, whenever X and Y are successive arguments of one (possibly inferred) mrow element, with X coming before Y. In the case of mfenced elements, MathML applications should evaluate this relation as if the mfenced element had been replaced by the equivalent expanded form involving mrow. Similarly, an maction element should be treated as if it were replaced by its currently selected sub-expression. In all other cases, no relation of "to the immediate left or right" is defined for two elements X and Y. However, in the case of content elements interspersed in presentation markup, MathML applications should attempt to evaluate this relation in a sensible way. For example, if a renderer maintains an internal presentation structure for rendering content elements, the relation could be evaluated with respect to that. (See Chapter 4 Content Markup and Chapter 5 Mixing Markup Languages for Mathematical Expressions for further details about mixing presentation and content markup.)

malignmark elements are allowed to occur within the content of token elements, such as mn, mi, or mtext. When this occurs, the character immediately before or after the malignmark element will carry the alignment point; in all other cases, the element to its immediate left or right will carry the alignment point. The rationale for this is that it is sometimes desirable to align on the edges of specific characters within multi-character token elements.

If there is more than one malignmark element in an alignment group, all but the first one will be ignored. MathML applications may wish to provide a mode in which they will warn about this situation, but it is not an error, and should trigger no warnings by default. The rationale for this is that it would be inconvenient to have to remove all unnecessary malignmark elements from automatically generated data, in certain cases, such as when they are used to specify alignment on "decimal points" other than the '.' character.

3.5.5.5 <malignmark/> Attributes

malignmark elements accept the attributes listed below in addition to those specified in Section 3.1.10 Mathematics style attributes common to presentation elements (however, neither mathcolor nor mathbackground have any effect).

Name values default
edge "left" | "right" left
see the discussion below.

malignmark has one attribute, edge, which specifies whether the alignment point will be found on the left or right edge of some element or character. The precise location meant by "left edge" or "right edge" is discussed below. If edge="right", the alignment point is the right edge of the element or character to the immediate left of the malignmark element. If edge="left", the alignment point is the left edge of the element or character to the immediate right of the malignmark element. Note that the attribute refers to the choice of edge rather than to the direction in which to look for the element whose edge will be used.

For malignmark elements that occur within the content of MathML token elements, the preceding or following character in the token element's content is used; if there is no such character, a zero-width character is effectively inserted for the purpose of carrying the alignment point on its edge. For all other malignmark elements, the preceding or following element is used; if there is no such element, a zero-width element is effectively inserted to carry the alignment point.

The precise definition of the "left edge" or "right edge" of a character or glyph (e.g. whether it should coincide with an edge of the character's bounding box) is not specified by MathML, but is at the discretion of the renderer; the renderer is allowed to let the edge position depend on the character's context as well as on the character itself.

For proper alignment of columns of numbers (using groupalign values of "left", "right", or "decimalpoint"), it is likely to be desirable for the effective width (i.e. the distance between the left and right edges) of decimal digits to be constant, even if their bounding box widths are not constant (e.g. if "1" is narrower than other digits). For other characters, such as letters and operators, it may be desirable for the aligned edges to coincide with the bounding box.

The "left edge" of a MathML element or alignment group refers to the left edge of the leftmost glyph drawn to render the element or group, except that explicit space represented by mspace or mtext elements should also count as "glyphs" in this context, as should glyphs that would be drawn if not for mphantom elements around them. The "right edge" of an element or alignment group is defined similarly.

3.5.5.6 <maligngroup/> Attributes

maligngroup elements accept the attributes listed below in addition to those specified in Section 3.1.10 Mathematics style attributes common to presentation elements (however, neither mathcolor nor mathbackground have any effect).

Name values default
groupalign "left" | "center" | "right" | "decimalpoint" inherited
see the discussion below.

maligngroup has one attribute, groupalign, which is used to determine the position of its group's alignment point when no malignmark element is present. The following discussion assumes that no malignmark element is found within a group.

In the example given at the beginning of this section, there is one column of 2 table cells, with 7 alignment groups in each table cell; thus there are 7 columns of alignment groups, with 2 groups, one above the other, in each column. These columns of alignment groups should be given the 7 groupalign values "decimalpoint left left decimalpoint left left decimalpoint", in that order. How to specify this list of values for a table cell or table column as a whole, using attributes on elements surrounding the maligngroup element is described later.

If groupalign is "left", "right", or "center", the alignment point is defined to be at the group's left edge, at its right edge, or halfway between these edges, respectively. The meanings of "left edge" and "right edge" are as discussed above in relation to malignmark.

If groupalign is "decimalpoint", the alignment point is the right edge of the character immediately before the left-most 'decimal point', i.e. matching the character specified by the decimalpoint attribute of mstyle (default ".", U+002E) in the first mn element found along the alignment group's baseline. More precisely, the alignment group is scanned recursively, depth-first, for the first mn element, descending into all arguments of each element of the types mrow (including inferred mrows), mstyle, mpadded, mphantom, menclose, mfenced, or msqrt, descending into only the first argument of each "scripting" element (msub, msup, msubsup, munder, mover, munderover, mmultiscripts) or of each mroot or semantics element, descending into only the selected sub-expression of each maction element, and skipping the content of all other elements. The first mn so found always contains the alignment point, which is the right edge of the last character before the first decimal point in the content of the mn element. If there is no decimal point in the mn element, the alignment point is the right edge of the last character in the content. If the decimal point is the first character of the mn element's content, the right edge of a zero-width character inserted before the decimal point is used. If no mn element is found, the right edge of the entire alignment group is used (as for groupalign="right").

In order to permit alignment on decimal points in cn elements, a MathML application can convert a content expression into a presentation expression that renders the same way before searching for decimal points as described above.

Characters other than "." can be used as "decimal points" for alignment by using mstyle; more arbitrary alignment points can chosen by embedding malignmark elements within the mn token's content itself.

For any of the groupalign values, if an explicit malignmark element is present anywhere within the group, the position it specifies (described earlier) overrides the automatic determination of alignment point from the groupalign value.

3.5.5.7 Inheritance of groupalign values

It is not usually necessary to put a groupalign attribute on every maligngroup element. Since this attribute is usually the same for every group in a column of alignment groups to be aligned, it can be inherited from an attribute on the mtable that was used to set up the alignment scope as a whole, or from the mtr or mtd elements surrounding the alignment group. It is inherited via an "inheritance path" that proceeds from mtable through successively contained mtr, mtd, and maligngroup elements. There is exactly one element of each of these kinds in this path from an mtable to any alignment group inside it. In general, the value of groupalign will be inherited by any given alignment group from the innermost element that surrounds the alignment group and provides an explicit setting for this attribute. For example, if an mtable element specifies values for groupalign and a maligngroup element within the table also specifies an explicit groupalign value, then then the value from the maligngroup takes priority.

Note, however, that each mtd element needs, in general, a list of groupalign values, one for each maligngroup element inside it, rather than just a single value. Furthermore, an mtr or mtable element needs, in general, a list of lists of groupalign values, since it spans multiple mtable columns, each potentially acting as an alignment scope. Such lists of group-alignment values are specified using the following syntax rules:

group-alignment             = "left" | "right" | "center" | "decimalpoint"
group-alignment-list        = group-alignment +
group-alignment-list-list   = ( "{" group-alignment-list "}" ) +

As described in Section 2.1.5 MathML Attribute Values, | separates alternatives; + represents optional repetition (i.e. 1 or more copies of what precedes it), with extra values ignored and the last value repeated if necessary to cover additional table columns or alignment group columns; '{' and '}' represent literal braces; and ( and ) are used for grouping, but do not literally appear in the attribute value.

The permissible values of the groupalign attribute of the elements that have this attribute are specified using the above syntax definitions as follows:

Element type groupalign attribute syntax default value
mtable group-alignment-list-list {left}
mtr group-alignment-list-list inherited from mtable attribute
mlabeledtr group-alignment-list-list inherited from mtable attribute
mtd group-alignment-list inherited from within mtr attribute
maligngroup group-alignment inherited from within mtd attribute

In the example near the beginning of this section, the group alignment values could be specified on every mtd element using groupalign = "decimalpoint left left decimalpoint left left decimalpoint", or on every mtr element using groupalign = "{decimalpoint left left decimalpoint left left decimalpoint}", or (most conveniently) on the mtable as a whole using groupalign = "{decimalpoint left left decimalpoint left left decimalpoint}", which provides a single braced list of group-alignment values for the single column of expressions to be aligned.

3.5.5.8 MathML representation of an alignment example

The above rules are sufficient to explain the MathML representation of the example given near the start of this section. To repeat the example, the desired rendering is:

    8.44x + 55  y =  0
    3.1 x -  0.7y = -1.1

One way to represent that in MathML is:

<mtable groupalign="{decimalpoint left left decimalpoint left left decimalpoint}">
  <mtr>
    <mtd>
      <mrow>
        <mrow>
          <mrow>
            <maligngroup/>
            <mn> 8.44 </mn>
            <mo> &#x2062;<!--INVISIBLE TIMES--> </mo>
            <maligngroup/>
            <mi> x </mi>
          </mrow>
          <maligngroup/>
          <mo> + </mo>
          <mrow>
            <maligngroup/>
            <mn> 55 </mn>
            <mo> &#x2062;<!--INVISIBLE TIMES--> </mo>
            <maligngroup/>
            <mi> y </mi>
          </mrow>
        </mrow>
      <maligngroup/>
      <mo> = </mo>
      <maligngroup/>
      <mn> 0 </mn>
    </mrow>
    </mtd>
  </mtr>
  <mtr>
    <mtd>
      <mrow>
        <mrow>
          <mrow>
            <maligngroup/>
            <mn> 3.1 </mn>
            <mo> &#x2062;<!--INVISIBLE TIMES--> </mo>
            <maligngroup/>
            <mi> x </mi>
          </mrow>
          <maligngroup/>
          <mo> - </mo>
          <mrow>
            <maligngroup/>
            <mn> 0.7 </mn>
            <mo> &#x2062;<!--INVISIBLE TIMES--> </mo>
            <maligngroup/>
            <mi> y </mi>
          </mrow>
        </mrow>
        <maligngroup/>
        <mo> = </mo>
        <maligngroup/>
        <mrow>
          <mo> - </mo>
          <mn> 1.1 </mn>
        </mrow>
      </mrow>
    </mtd>
  </mtr>
</mtable>

3.5.5.9 Further details of alignment elements

The alignment elements maligngroup and malignmark can occur outside of alignment scopes, where they are ignored. The rationale behind this is that in situations in which MathML is generated, or copied from another document, without knowing whether it will be placed inside an alignment scope, it would be inconvenient for this to be an error.

An mtable element can be given the attribute alignmentscope="false" to cause its columns not to act as alignment scopes. In general, this attribute has the syntax ("true" | "false") +; if its value is a list of Boolean values, each Boolean value applies to one column, with the last value repeated if necessary to cover additional columns, or with extra values ignored. Columns that are not alignment scopes are part of the alignment scope surrounding the mtable element, if there is one. Use of alignmentscope="false" allows nested tables to contain malignmark elements for aligning the inner table in the surrounding alignment scope.

As discussed above, processing of alignment for content elements is not well-defined, since MathML does not specify how content elements should be rendered. However, many MathML applications are likely to find it convenient to internally convert content elements to presentation elements that render the same way. Thus, as a general rule, even if a renderer does not perform such conversions internally, it is recommended that the alignment elements should be processed as if it did perform them.

A particularly important case for renderers to handle gracefully is the interaction of alignment elements with the matrix content element, since this element may or may not be internally converted to an expression containing an mtable element for rendering. To partially resolve this ambiguity, it is suggested, but not required, that if the matrix element is converted to an expression involving an mtable element, that the mtable element be given the attribute alignmentscope="false", which will make the interaction of the matrix element with the alignment elements no different than that of a generic presentation element (in particular, it will allow it to contain malignmark elements that operate within the alignment scopes created by the columns of an mtable that contains the matrix element in one of its table cells).

The effect of alignment elements within table cells that have non-default values of the columnspan or rowspan attributes is not specified, except that such use of alignment elements is not an error. Future versions of MathML may specify the behavior of alignment elements in such table cells.

The effect of possible linebreaking of an mtable element on the alignment elements is not specified.

3.5.5.10 A simple alignment algorithm

A simple algorithm by which a MathML renderer can perform the alignment specified in this section is given here. Since the alignment specification is deterministic (except for the definition of the left and right edges of a character), any correct MathML alignment algorithm will have the same behavior as this one. Each mtable column (alignment scope) can be treated independently; the algorithm given here applies to one mtable column, and takes into account the alignment elements, the groupalign attribute described in this section, and the columnalign attribute described under mtable (Section 3.5.1 Table or Matrix <mtable>).

First, a rendering is computed for the contents of each table cell in the column, using zero width for all maligngroup and malignmark elements. The final rendering will be identical except for horizontal shifts applied to each alignment group and/or table cell. The positions of alignment points specified by any malignmark elements are noted, and the remaining alignment points are determined using groupalign values.

For each alignment group, the horizontal positions of the left edge, alignment point, and right edge are noted, allowing the width of the group on each side of the alignment point (left and right) to be determined. The sum of these two "side-widths", i.e. the sum of the widths to the left and right of the alignment point, will equal the width of the alignment group.

Second, each column of alignment groups, from left to right, is scanned. The ith scan covers the ith alignment group in each table cell containing any alignment groups. Table cells with no alignment groups, or with fewer than i alignment groups, are ignored. Each scan computes two maximums over the alignment groups scanned: the maximum width to the left of the alignment point, and the maximum width to the right of the alignment point, of any alignment group scanned.

The sum of all the maximum widths computed (two for each column of alignment groups) gives one total width, which will be the width of each table cell containing alignment groups. Call the maximum number of alignment groups in one cell n; each such cell is divided into 2n horizontally adjacent sections, called L(i) and R(i) for i from 1 to n, using the 2n maximum side-widths computed above; for each i, the width of all sections called L(i) is the maximum width of any cell's ith alignment group to the left of its alignment point, and the width of all sections called R(i) is the maximum width of any cell's ith alignment group to the right of its alignment point.

Each alignment group is then shifted horizontally as a block to unique position that places: in the section called L(i) that part of the ith group to the left of its alignment point; in the section called R(i) that part of the ith group to the right of its alignment point. This results in the alignment point of each ith group being on the boundary between adjacent sections L(i) and R(i), so that all alignment points of ith groups have the same horizontal position.

The widths of the table cells that contain no alignment groups were computed as part of the initial rendering, and may be different for each cell, and different from the single width used for cells containing alignment groups. The maximum of all the cell widths (for both kinds of cells) gives the width of the table column as a whole.

The position of each cell in the column is determined by the applicable part of the value of the columnalign attribute of the innermost surrounding mtable, mtr, or mtd element that has an explicit value for it, as described in the sections on those elements. This may mean that the cells containing alignment groups will be shifted within their column, in addition to their alignment groups having been shifted within the cells as described above, but since each such cell has the same width, it will be shifted the same amount within the column, thus maintaining the vertical alignment of the alignment points of the corresponding alignment groups in each cell.

3.6 Elementary Math

Mathematics used in the lower grades such as two-dimensional addition, multiplication, and long division tends to be tabular in nature. However, the specific notations used varies among countries much more than for higher level math. Furthermore, elementary math often presents examples in some intermediate state and MathML must be able to capture these intermediate or intentionally missing partial forms. Indeed, these constructs represent memory aids or procedural guides, as much as they represent ‘mathematics’.

The elements used for basic alignments in elementary math are:

mstack and mlongdiv are the parent elements for all elementary math layout. Any children of mstack, mlongdiv, and msgroup, besides msrow, msgroup, mscarries and msline, are treated as if implicitly surrounded by an msrow (See Section 3.6.4 Rows in Elementary Math <msrow> for more details about rows).

Since the primary use of these stacking constructs is to stack rows of numbers aligned on their digits, and since numbers are always formatted left-to-right, the columns of an mstack are always processed left-to-right; the overall directionality in effect (ie. the dir attribute) does not affect to the ordering of display of columns or carries in rows and, in particular, does not affect the ordering of any operators within a row (See Section 3.1.5 Directionality).

These elements are described in this section followed by examples of their use. In addition to two-dimensional addition, subtraction, multiplication, and long division, these elements can be used to represent several notations used for repeating decimals.

A very simple example of two-dimensional addition is shown below:

\begin{array}{r}   424 \\   +33 \\   \hline \end{array}

The MathML for this is:

<mstack>
  <mn>424</mn>
  <msrow> <mo>+</mo> <mn>33</mn> </msrow>
  <msline/>
</mstack>

Many more examples are given in Section 3.6.8 Elementary Math Examples.

3.6.1 Stacks of Characters <mstack>

3.6.1.1 Description

mstack is used to lay out rows of numbers that are aligned on each digit. This is common in many elementary math notations such as 2D addition, subtraction, and multiplication.

The children of an mstack represent rows, or groups of them, to be stacked each below the previous row; there can be any number of rows. An msrow represents a row; an msgroup groups a set of rows together so that their horizontal alignment can be adjusted together; an mscarries represents a set of carries to be applied to the following row; an msline represents a line separating rows. Any other element is treated as if implicitly surrounded by msrow.

Each row contains ‘digits’ that are placed into columns. (see Section 3.6.4 Rows in Elementary Math <msrow> for further details). The stackalign attribute together with the position and shift attributes of msgroup, mscarries, and msrow determine to which column a character belongs.

The width of a column is the maximum of the widths of each ‘digit’ in that column — carries do not participate in the width calculation; they are treated as having zero width. If an element is too wide to fit into a column, it overflows into the adjacent column(s) as determined by the charalign attribute. If there is no character in a column, its width is taken to be the width of a 0 in the current language (in many fonts, all digits have the same width).

The method for laying out an mstack is:

  1. The ‘digits’ in a row are determined.

  2. All of the digits in a row are initially aligned according to the stackalign value.

  3. Each row is positioned relative to that alignment based on the position attribute (if any) that controls that row.

  4. The maximum width of the digits in a column are determined and shorter and wider entries in that column are aligned according to the charalign attribute.

  5. The width and height of the mstack element are computed based on the rows and columns. Any overflow from a column is not used as part of that computation.

  6. The baseline of the mstack element is determined by the align attribute.

3.6.1.2 Attributes

mstack elements accept the attributes listed below in addition to those specified in Section 3.1.10 Mathematics style attributes common to presentation elements.

Name values default
align ("top" | "bottom" | "center" | "baseline" | "axis"), rownumber? baseline
specifies the vertical alignment of the mstack with respect to its environment. The legal values and their meanings are the same as that for mtable's align attribute.
stackalign "left" | "center" | "right" | "decimalpoint" decimalpoint
specifies which column is used to horizontally align the rows. For "left", rows are aligned flush on the left; similarly for "right", rows are flush on the right; for "center", the middle column (or to the right of the middle, for an even number of columns) is used for alignment. Rows with non-zero position, or affected by a shift, are treated as if the requisite number of empty columns were added on the appropriate side; see Section 3.6.3 Group Rows with Similiar Positions <msgroup> and Section 3.6.4 Rows in Elementary Math <msrow>. For "decimalpoint", the column used is the left-most column in each row that contains the decimalpoint character specified using the decimalpoint attribute of mstyle (default "."). If there is no decimalpoint character in the row, an implied decimal is assumed on the right of the first number in the row; See "decimalpoint" for a discussion of "decimalpoint".
charalign "left" | "center" | "right" right
specifies the horizontal alignment of digits within a column. If the content is larger than the column width, then it overflows the opposite side from the alignment. For example, for "right", the content will overflow on the left side; for center, it overflows on both sides. This excess does not participate in the column width calculation, nor does it participate in the overall width of the mstack. In these cases, authors should take care to avoid collisions between column overflows.
charspacing length | "loose" | "medium" | "tight" medium
specifies the amount of space to put between each column. Larger spacing might be useful if carries are not placed above or are particularly wide. The keywords "loose", "medium", and "tight" automatically adjust spacing to when carries or other entries in a column are wide. The three values allow authors to some flexibility in choosing what the layout looks like without having to figure out what values works well. In all cases, the spacing between columns is a fixed amount and does not vary between different columns.

3.6.2 Long Division <mlongdiv>

3.6.2.1 Description

Long division notation varies quite a bit around the world, although the heart of the notation is often similar. mlongdiv is similar to mstack and used to layout long division. The first two children of mlongdiv are the divisor and the result of the division, in that order. The remaining children are treated as if they were children of mstack. The placement of these and the lines and separators used to display long division are controlled by the longdivstyle attribute.

The result or divisor may be an elementary math element or may be none. In particular, if msgroup is used, the elements in that group may or may not form their own mstack or be part of the dividend's mstack, depending upon the value of the longdivstyle attribute. For example, in the US style for division, the result is treated as part of the dividend's mstack, but divisor is not. MathML does not specify when the result and divisor form their own mstack, nor does it specify what should happen if msline or other elementary math elements are used for the result or divisor and they do not participate in the dividend's mstack layout.

In the remainder of this section on elementary math, anything that is said about mstack applies to mlongdiv unless stated otherwise.

3.6.2.2 Attributes

mlongdiv elements accept all of the attributes that mstack elements accept (including those specified in Section 3.1.10 Mathematics style attributes common to presentation elements), along with the attribute listed below.

The values allowed for longdivstyle are open-ended. Conforming renderers may ignore any value they do not handle, although renderers are encouraged to render as many of the values listed below as possible. Any rules drawn as part of division layout should be drawn using the color specified by mathcolor.

Name values default
longdivstyle "lefttop" | "stackedrightright" | "mediumstackedrightright" | "shortstackedrightright" | "righttop" | "left/\right" | "left)(right" | ":right=right" | "stackedleftleft" | "stackedleftlinetop" lefttop
Controls the style of the long division layout. The names are meant as a rough mnemonic that describes the position of the divisor and result in relation to the dividend.

See Section 3.6.8.3 Long Division for examples of how these notations are drawn. The values listed above are used for long division notations in different countries around the world:

"lefttop"
a notation that is commonly used in the United States, Great Britain, and elsewhere
"stackedrightright"
a notation that is commonly used in France and elsewhere
"mediumrightright"
a notation that is commonly used in Russia and elsewhere
"shortstackedrightright"
a notation that is commonly used in Brazil and elsewhere
"righttop"
a notation that is commonly used in China, Sweden, and elsewhere
"left/\right"
a notation that is commonly used in Netherlands
"left)(right"
a notation that is commonly used in India
":right=right "
a notation that is commonly used in Germany
"stackedleftleft "
a notation that is commonly used in Arabic countries
"stackedleftlinetop"
a notation that is commonly used in Arabic countries

3.6.3 Group Rows with Similiar Positions <msgroup>

3.6.3.1 Description

msgroup is used to group rows inside of the mstack and mlongdiv elements that have a similar position relative to the alignment of stack. If not explicitly given, the children representing the stack in mstack and mlongdiv are treated as if they are implicitly surrounded by an msgroup element.

3.6.3.2 Attributes

msgroup elements accept the attributes listed below in addition to those specified in Section 3.1.10 Mathematics style attributes common to presentation elements.

Name values default
position integer 0
specifies the horizontal position of the rows within this group relative the position determined by the containing msgroup (according to its position and shift attributes). The resulting position value is relative to the column specified by stackalign of the containing mstack or mlongdiv. Positive values move each row towards the tens digit, like multiplying by a power of 10, effectively padding with empty columns on the right; negative values move towards the ones digit, effectively padding on the left. The decimal point is counted as a column and should be taken into account for negative values.
shift integer 0
specifies an incremental shift of position for successive children (rows or groups) within this group. The value is interpreted as with position, but specifies the position of each child (except the first) with respect to the previous child in the group.

3.6.4 Rows in Elementary Math <msrow>

3.6.4.1 Description

An msrow represents a row in an mstack. In most cases it is implied by the context, but is useful explicitly for putting multiple elements in a single row, such as when placing an operator "+" or "-" alongside a number within an addition or subtraction.

If an mn element is a child of msrow (whether implicit or not), then the number is split into its digits and the digits are placed into successive columns. Any other element, with the exception of mstyle is treated effectively as a single digit occupying the next column. An mstyle is treated as if its children were the directly the children of the msrow, but with their style affected by the attributes of the mstyle. The empty element none may be used to create an empty column.

Note that a row is considered primarily as if it were a number, which are always displayed left-to-right, and so the directionality used to display the columns is always left-to-right; textual bidirectionality within token elements (other than mn) still applies, as does the overall directionality within any children of the msrow (which end up treated as single digits); see Section 3.1.5 Directionality.

3.6.4.2 Attributes

msrow elements accept the attributes listed below in addition to those specified in Section 3.1.10 Mathematics style attributes common to presentation elements.

Name values default
position integer 0
specifies the horizontal position of the rows within this group relative the position determined by the containing msgroup (according to its position and shift attributes). The resulting position value is relative to the column specified by stackalign of the containing mstack or mlongdiv. Positive values move each row towards the tens digit, like multiplying by a power of 10, effectively padding with empty columns on the right; negative values move towards the ones digit, effectively padding on the left. The decimal point is counted as a column and should be taken into account for negative values.

3.6.5 Carries, Borrows, and Crossouts <mscarries>

3.6.5.1 Description

The mscarries element is used for various annotations such as carries, borrows, and crossouts that occur in elementary math. The children are associated with elements in the following row of the mstack. It is an error for mscarries to be the last element of an mstack or mlongdiv element. Each child of the mscarries applies to the same column in the following row. As these annotations are used to adorn what are treated as numbers, the attachment of carries to columns proceeds from left-to-right; The overall directionality does not apply to the ordering of the carries, although it may apply to the contents of each carry; see Section 3.1.5 Directionality.

Each child of mscarries other than mscarry or none is treated as if implicitly surrounded by mscarry; the element none is used when no carry for a particular column is needed. The mscarries element sets displaystyle to "false", and increments scriptlevel by 1, so the children are typically displayed in a smaller font. (See Section 3.1.6 Displaystyle and Scriptlevel.) It also changes the default value of scriptsizemultiplier. The effect is that the inherited value of scriptsizemultiplier should still override the default value, but the default value, inside mscarries, should be "0.6". scriptsizemultiplier can be set on the mscarries element, and the value should override the inherited value as usual.

If two rows of carries are adjacent to each other, the first row of carries annotates the second (following) row as if the second row had location="n". This means that the second row, even if it does not draw, visually uses some (undefined by this specification) amount of space when displayed.

3.6.5.2 Attributes

mscarries elements accept the attributes listed below in addition to those specified in Section 3.1.10 Mathematics style attributes common to presentation elements.

Name values default
position integer 0
specifies the horizontal position of the rows within this group relative the position determined by the containing msgroup (according to its position and shift attributes). The resulting position value is relative to the column specified by stackalign of the containing mstack or mlongdiv. The interpretation of the value is the same as position for msgroup or msrow, but it alters the association of each carry with the column below. For example, position=1 would cause the rightmost carry to be associated with the second digit column from the right.
location "w" | "nw" | "n" | "ne" | "e" | "se" | "s" | "sw" n
specifies the location of the carry or borrow relative to the character below it in the associated column. Compass directions are used for the values; the default is to place the carry above the character.
crossout ("none" | "updiagonalstrike" | "downdiagonalstrike" | "verticalstrike" | "horizontalstrike")* none
specifies how the column content below each carry is "crossed out"; one or more values may be given and all values are drawn. If "none" is given with other values, it is ignored. See Section 3.6.8 Elementary Math Examples for examples of the different values. The crossout is only applied for columns which have a corresponding mscarry. The crossouts should be drawn using the color specified by mathcolor.
scriptsizemultiplier number inherited (0.6)
specifies the factor to change the font size by. See Section 3.1.6 Displaystyle and Scriptlevel for a description of how this works with the scriptsize attribute.

3.6.6 A Single Carry <mscarry>

3.6.6.1 Description

mscarry is used inside of mscarries to represent the carry for an individual column. A carry is treated as if its width were zero; it does not participate in the calculation of the width of its corresponding column; as such, it may extend beyond the column boundaries. Although it is usually implied, the element may be used explicitly to override the location and/or crossout attributes of the containing mscarries. It may also be useful with none as its content in order to display no actual carry, but still enable a crossout due to the enclosing mscarries to be drawn for the given column.

3.6.6.2 Attributes

The mscarry element accepts the attributes listed below in addition to those specified in Section 3.1.10 Mathematics style attributes common to presentation elements.

Name values default
location "w" | "nw" | "n" | "ne" | "e" | "se" | "s" | "sw" inherited
specifies the location of the carry or borrow relative to the character in the corresponding column in the row below it. Compass directions are used for the values.
crossout ("none" | "updiagonalstrike" | "downdiagonalstrike" | "verticalstrike" | "horizontalstrike")* inherited
specifies how the column content associated with the carry is "crossed out"; one or more values may be given and all values are drawn. If "none" is given with other values, it is essentially ignored. The crossout should be drawn using the color specified by mathcolor.

3.6.7 Horizontal Line <msline/>

3.6.7.1 Description

msline draws a horizontal line inside of a mstack element. The position, length, and thickness of the line are specified as attributes. If the length is specified, the line is positioned and drawn as if it were a number with the given number of digits.

3.6.7.2 Attributes

msline elements accept the attributes listed below in addition to those specified in Section 3.1.10 Mathematics style attributes common to presentation elements. The line should be drawn using the color specified by mathcolor.

Name values default
position integer 0
specifies the horizontal position of the rows within this group relative the position determined by the containing msgroup (according to its position and shift attributes). The resulting position value is relative to the column specified by stackalign of the containing mstack or mlongdiv. Positive values moves towards the tens digit (like multiplying by a power of 10); negative values moves towards the ones digit. The decimal point is counted as a column and should be taken into account for negative values. Note that since the default line length spans the entire mstack, the position has no effect unless the length is specified as non-zero.
length unsigned-integer 0
Specifies the the number of columns that should be spanned by the line. A value of '0' (the default) means that all columns in the row are spanned (in which case position and stackalign have no effect).
leftoverhang length 0
Specifies an extra amount that the line should overhang on the left of the leftmost column spanned by the line.
rightoverhang length 0
Specifies an extra amount that the line should overhang on the right of the rightmost column spanned by the line.
mslinethickness length | "thin" | "medium" | "thick" medium
Specifies how thick the line should be drawn. The line should have height=0, and depth=mslinethickness so that the top of the msline is on the baseline of the surrounding context (if any). (See Section 3.3.2 Fractions <mfrac> for discussion of the thickness keywords "medium", "thin" and "thick".)

3.6.8 Elementary Math Examples

3.6.8.1 Addition and Subtraction

Two-dimensional addition, subtraction, and multiplication typically involve numbers, carrries/borrows, lines, and the sign of the operation.

Notice that the msline spans all of the columns and that none is used to make the "+" appear to the left of all of the operands.

\begin{array}{@{}r@{}}    424 \\   +\phantom0 33 \\   \hline \end{array}

The MathML for this is:

<mstack>
  <mn>424</mn>
  <msrow> <mo>+</mo> <none/> <mn>33</mn> </msrow>
  <msline/>
</mstack>

Here is an example with the operator on the right. Placing the operator on the right is standard in the Netherlands and some other countries. Notice that although there are a total of four columns in the example, because the default alignment in on the implied decimal point to the right of the numbers, it is not necessary to pad any row.

\begin{array}{l}   123 \\   456+ \\   \hline   579 \end{array}

<mstack>
  <mn>123</mn> 
  <msrow> <mn>456</mn> <mo>+</mo> </msrow>
  <msline/>
  <mn>579</mn>
</mstack>

Because the default alignment is placed to the right of number, the numbers align properly and none of the rows need to be shifted.

The following two examples illustrate the use of mscarries, mscarry and using none to fill in a column. The examples illustrate two different ways of displaying a borrow.

The MathML for the first example is:

<mstack>
  <mscarries crossout='updiagonalstrike'>
    <mn>2</mn>  <mn>12</mn>  <mscarry crossout='none'> <none/> </mscarry>
  </mscarries>
  <mn>2,327</mn>
  <msrow> <mo>-</mo> <mn> 1,156</mn> </msrow>
  <msline/>
  <mn>1,171</mn>
</mstack>

The MathML for the second example uses mscarry because a crossout should only happen on a single column:

<mstack>
  <mscarries location='nw'>
    <none/>
    <mscarry crossout='updiagonalstrike' location='n'> <mn>2</mn> </mscarry>
    <mn>1</mn>
    <none/>
  </mscarries>
  <mn>2,327</mn>
  <msrow> <mo>-</mo> <mn> 1,156</mn> </msrow>
  <msline/>
  <mn>1,171</mn>
</mstack>

Here is an example of subtraction where there is a borrow with multiple digits in a single column and a cross out. The borrowed amount is underlined (the example is from a Swedish source):

\begin{array}{r} \underbar{\scriptsize 10}\!\\ 5\llap{$/$}2\\ {}-{}7\\ \hline 45 \end{array}

There are two things to notice. The first is that menclose is used in the carry and that none is used for the empty element so that mscarry can be used to create a crossout.

<mstack>
  <mscarries>
    <mscarry crossout='updiagonalstrike'><none/></mscarry>
    <menclose notation='bottom'> <mn>10</mn> </menclose>
  </mscarries>
  <mn>52</mn>
  <msrow> <mo>-</mo> <mn> 7</mn> </msrow>
  <msline/>
  <mn>45</mn>
</mstack>

3.6.8.2 Multiplication

Below is a simple multiplication example that illustrates the use of msgroup and the shift attribute. The first msgroup does nothing. The second msgroup could also be removed, but msrow would be needed for its second and third children. They would set the position or shift attributes, or would add none elements.

<mstack>
  <msgroup>
    <mn>123</mn>
    <msrow><mo>&#xD7;<!--MULTIPLICATION SIGN--></mo><mn>321</mn></msrow>
  </msgroup>
  <msline/>
  <msgroup shift="1">
    <mn>123</mn>
    <mn>246</mn>
    <mn>369</mn>
  </msgroup>
  <msline/>
</mstack>

This example has multiple rows of carries. It also (somewhat artificially) includes commas (",") as digit separators. The encoding includes these separators in the spacing attribute value, along non-ASCII values.

\begin{array}{r}  {}_1 {\hspace{0.05em}}_1\phantom{0} \\  {}_1 {\hspace{0.05em}}_1\phantom{0} \\   1,234 \\   \times 4,321 \\   \hline  {}_1 \phantom{,} {\hspace{0.05em \,}}_1 {\hspace{0.05em}}_1  {\hspace{0.05em}}_1 \phantom{,} {\hspace{0.05em \,}}_1 \phantom{00} \\   1,234 \\   24,68\phantom{0} \\   370,2\phantom{00} \\   4,936\phantom{,000} \\   \hline   5,332,114 \end{array}

<mstack>
  <mscarries><mn>1</mn><mn>1</mn><none/></mscarries>
  <mscarries><mn>1</mn><mn>1</mn><none/></mscarries>
  <mn>1,234</mn>
  <msrow><mo>&#xD7;<!--MULTIPLICATION SIGN--></mo><mn>4,321</mn></msrow>
  <msline/>

  <mscarries position='2'>
    <mn>1</mn>
    <none/>
    <mn>1</mn>
    <mn>1</mn>
    <mn>1</mn>
    <none/>
    <mn>1</mn>
  </mscarries>
  <msgroup shift="1">
    <mn>1,234</mn>
    <mn>24,68</mn>
    <mn>370,2</mn>
    <msrow position="1"> <mn>4,936</mn> </msrow>
  </msgroup>
  <msline/>
  
  <mn>5,332,114</mn>
</mstack>

3.6.8.3 Long Division

The notation used for long division varies considerably among countries. Most notations share the common characteristics of aligning intermediate results and drawing lines for the operands to be subtracted. Minus signs are sometimes shown for the intermediate calculations, and sometimes they are not. The line that is drawn varies in length depending upon the notation. The most apparently difference among the notations is that the position of the divisor varies, as does the location of the quotient, remainder, and intermediate terms.

The layout used is controlled by the longdivstyle attribute. Below are examples for the values listed in Section 3.6.2.2 Attributes

"lefttop" "stackedrightright" "mediumstackedrightright" "shortstackedrightright" "righttop"

"left/\right" "left)(right" ":right=right" "stackedleftleft" "stackedleftlinetop"

The MathML for the first example is shown below. It illustrates the use of nested msgroups and how the position is calculated in those usages.

<mlongdiv longdivstyle="lefttop">
  <mn> 3 </mn>
  <mn> 435.3</mn>

  <mn> 1306</mn>

  <msgroup position="2" shift="-1">
    <msgroup>
      <mn> 12</mn>
      <msline length="2"/>
    </msgroup>
    <msgroup>
      <mn> 10</mn>
      <mn> 9</mn>
      <msline length="2"/>
    </msgroup>
    <msgroup>
      <mn> 16</mn>
      <mn> 15</mn>
      <msline length="2"/>
      <mn> 1.0</mn>           <!-- aligns on '.', not the right edge ('0') -->
    </msgroup>
    <msgroup position='-1'>   <!-- extra shift to move to the right of the "." -->
       <mn> 9</mn>
      <msline length="3"/>
      <mn> 1</mn>
    </msgroup>
  </msgroup>
</mlongdiv>

With the exception of the last example, the encodings for the other examples are the same except that the values for longdivstyle differ and that a "," is used instead of a "." for the decimal point. For the last example, the only difference from the other examples besides a different value for longdivstyle is that Arabic numerals have been used in place of Latin numerals, as shown below.

<mstyle decimalpoint="&#x066B;">
<mlongdiv longdivstyle="stackedleftlinetop">
  <mn> &#x0663; </mn>
  <mn> &#x0664;&#x0663;&#x0665;&#x066B;&#x0663;</mn>

  <mn> &#x0661;&#x0663;&#x0660;&#x0666;</mn>
  <msgroup position="2" shift="-1">
    <msgroup>
      <mn> &#x0661;&#x0662;</mn>
      <msline length="2"/>
    </msgroup>
    <msgroup>
      <mn> &#x0661;&#x0660;</mn>
      <mn> &#x0669;</mn>
      <msline length="2"/>
    </msgroup>
    <msgroup>
      <mn> &#x0661;&#x0666;</mn>
      <mn> &#x0661;&#x0665;</mn>
      <msline length="2"/>
        <mn> &#x0661;&#x066B;&#x0660;</mn>
   </msgroup>
   <msgroup position='-1'>
       <mn> &#x0669;</mn>
      <msline length="3"/>
      <mn> &#x0661;</mn>
    </msgroup>
  </msgroup>
</mlongdiv>
</mstyle>

3.6.8.4 Repeating decimal

Decimal numbers that have digits that repeat infinitely such as 1/3 (.3333...) are represented using several notations. One common notation is to put a horizontal line over the digits that repeat (in Portugal an underline is used). Another notation involves putting dots over the digits that repeat. These notations are shown below:

0.33333 \overline{3}

0.\overline{142857}

0.\underline{142857}

0.\dot{1}4285\dot{7}

The MathML for these involves using mstack, msrow, and msline in a straightforward manner. The MathML for the preceding examples above is given below.

<mstack stackalign="right">
  <msline length="1"/>
  <mn> 0.3333 </mn>
</mstack>
<mstack stackalign="right">
  <msline length="6"/>
  <mn> 0.142857 </mn>
</mstack>
<mstack stackalign="right">
  <mn> 0.142857 </mn>
  <msline length="6"/>
</mstack>
<mstack stackalign="right">
  <msrow> <mo>.</mo> <none/><none/><none/><none/> <mo>.</mo> </msrow>
  <mn> 0.142857 </mn>
</mstack>

3.7 Enlivening Expressions

3.7.1 Bind Action to Sub-Expression <maction>

To provide a mechanism for binding actions to expressions, MathML provides the maction element. This element accepts any number of sub-expressions as arguments and the type of action that should happen is controlled by the actiontype attribute. Only three actions are predefined by MathML, but the list of possible actions is open. Additional predefined actions may be added in future versions of MathML.

Linking to other elements, either locally within the math element or to some URL, is not handled by maction. Instead, it is handled by adding a link directly on a MathML element as specified in Section 6.4.3 Linking.

3.7.1.1 Attributes

maction elements accept the attributes listed below in addition to those specified in Section 3.1.10 Mathematics style attributes common to presentation elements.

By default, MathML applications that do not recognize the specified actiontype should render the selected sub-expression as defined below. If no selected sub-expression exists, it is a MathML error; the appropriate rendering in that case is as described in Section 2.3.2 Handling of Errors.

Name values default
actiontype string required
Specifies what should happen for this element. The values allowed are open-ended. Conforming renderers may ignore any value they do not handle, although renderers are encouraged to render the values listed below.
selection positive-integer 1
Specifies which child should be used for viewing. Its value should be between 1 and the number of children of the element. The specified child is referred to as the "selected sub-expression" of the maction element. If the value specified is out of range, it is an error. When the selection attribute is not specified (including for action types for which it makes no sense), its default value is 1, so the selected sub-expression will be the first sub-expression.

If a MathML application responds to a user command to copy a MathML sub-expression to the environment's "clipboard" (see Section 6.3 Transferring MathML), any maction elements present in what is copied should be given selection values that correspond to their selection state in the MathML rendering at the time of the copy command.

The meanings of the various actiontype values is given below. Note that not all renderers support all of the actiontype values, and that the allowed values are open-ended.

<maction actiontype="toggle" selection="positive-integer" > (first expression) (second expression)... </maction>
The renderer alternately display the selected subexpression, cycling through them when there is a click on the selected subexpression. Each click increments the selection value, wrapping back to 1 when it reaches the last child. Typical uses would be for exercises in education, ellipses in long computer algebra output, or to illustrate alternate notations. Note that the expressions may be of significantly different size, so that size negotiation with the browser may be desirable. If size negotiation is not available, scrolling, elision, panning, or some other method may be necessary to allow full viewing.
<maction actiontype="statusline"> (expression) (message) </maction>
The renderer displays the first child. When a reader clicks on the expression or moves the pointer over it, the renderer sends a rendering of the message to the browser statusline. Because most browsers in the foreseeable future are likely to be limited to displaying text on their statusline, the second child should be an mtext element in most circumstances. For non-mtext messages, renderers might provide a natural language translation of the markup, but this is not required.
<maction actiontype="tooltip"> (expression) (message) </maction>
The renderer displays the first child. When the pointer pauses over the expression for a long enough delay time, the renderer displays a rendering of the message in a pop-up "tooltip" box near the expression. Many systems may limit the popup to be text, so the second child should be an mtext element in most circumstances. For non-mtext messages, renderers may provide a natural language translation of the markup if full MathML rendering is not practical, but this is not required.
<maction actiontype="input"> (expression) </maction>
The renderer displays the expression. For renderers that allow editing, when focus is passed to this element, the maction is replaced by what is entered, pasted, etc. MathML does not restrict what is allowed as input, nor does it require an editor to allow arbitrary input. Some renderers/editors may restrict the input to simple (linear) text.

The actiontype values are open-ended. If another value is given and it requires additional attributes, the attributes must be in a different namespace. This is shown below:

<maction actiontype="highlight" my:color="red" my:background="yellow"> expression </maction>
In the example, non-standard attributes from another namespace are being used to pass additional information to renderers that support them, without violating the MathML Schema (see Section 2.3.3 Attributes for unspecified data). The my:color attributes might change the color of the characters in the presentation, while the my:background attribute might change the color of the background behind the characters.

3.8 Semantics and Presentation

MathML uses the semantics element to allow specifying semantic annotations to presentation MathML elements; these can be content MathML or other notations. As such, semantics should be considered part of both presentation MathML and content MathML. All MathML processors should process the semantics element, even if they only process one of those subsets.

In semantic annotations a presentation MathML expression is typically the first child of the semantics element. However, it can also be given inside of an annotation-xml element inside the semantics element. If it is part of an annotation-xml element, then encoding="MathML-Presentation" must be used and presentation MathML processors should use this value for the presentation.

See Section 5.1 Annotation Framework for more details about the semantics and annotation-xml elements.

Overview: Mathematical Markup Language (MathML) Version 3.0
Previous: 2 MathML Fundamentals
Next: 4 Content Markup